产品名称 2-甲基马尿酸
CAS号42013-20-7
分子式C10H11NO3
分子量193.2
InChIInChI=1S/C10H11NO3/c1-7-4-2-3-5-8(7)10(14)11-6-9(12)13/h2-5H,6H2,1H3,(H,11,14)(H,12,13)
InChIKeyYOEBAVRJHRCKRE-UHFFFAOYSA-N
SmilesC(O)(=O)CNC(=O)C1=CC=CC=C1C
展开 收起
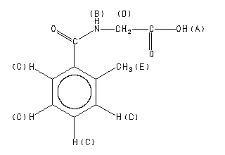
Assign. Shift(ppm) A 12.6 B 8.53 C 7.45 to 7.10 D 3.892 E 2.364
更多供应商
2-甲基马尿酸(42013-20-7)质谱(MS) 相关产品图谱