
2-羟基查酮
产品名称
2-羟基查酮
CAS号42224-53-3
分子式C15H12O2
分子量224.25
InChIInChI=1S/C15H12O2/c16-14-9-5-4-8-13(14)10-11-15(17)12-6-2-1-3-7-12/h1-11,16H/b11-10+
InChIKeyUDOOPSJCRMKSGL-ZHACJKMWSA-N
SmilesC(C1=CC=CC=C1)(=O)/C=C/C1=CC=CC=C1O
展开
收起
-
Assign. Shift(ppm)
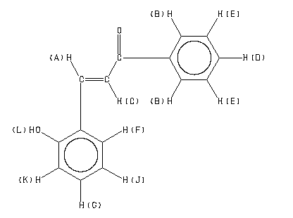
A 8.14
B 8.03
C 7.71
D 7.59
E 7.49
F 7.28
G 7.7 to 7.40
J 6.96
K 6.93
L 6.43
J(A,C)=15.8HZ.
Spectral Code: 1H NMR : 90 MHz in CDCl3
-
ppm Int. Assign.
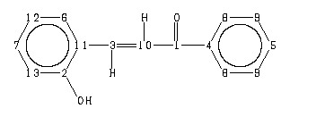
191.89 204 1
155.74 515 2
140.90 311 3
138.39 272 4
132.76 311 5
131.80 447 6
129.54 398 7
128.67 951 8 *
128.62 1000 9 *
122.93 330 10
122.31 233 11
121.00 320 12
116.64 330 13
Spectral Code: 13C NMR : in CDCl3
-
Spectral Code: IR : nujol mull
-
Spectral Code: Raman : 4880 A,200 M,powder
2-羟基查酮(42224-53-3)红外图谱(IR1) 相关产品图谱