图谱信息 供应商 相关产品
网站主页CAS数据库列表 4245-37-8更多图谱甲基丙烯酸乙烯酯(4245-37-8)红外图谱(IR1)

甲基丙烯酸乙烯酯

产品名称 甲基丙烯酸乙烯酯

CAS号4245-37-8

分子式C6H8O2

分子量112.13

展开


  • Mass

    MS-NW-1117          
    vinyl methacrylate
    C6H8O2              (Mass of molecular ion:    112)
    

       Source Temperature: 240 °C
       Sample Temperature: 170 °C
       Reservoir, 75 eV
    

          15.0       3.6
          26.0       2.2
          27.0       6.0
          28.0       2.9
          29.0       1.1
          37.0       1.2
          38.0       2.9
          39.0      27.3
          40.0       5.2
          41.0      96.4
          42.0       3.3
          43.0       5.7
          44.0      10.4
          69.0     100.0
          70.0       4.7
          84.0       1.2
         112.0       3.0
    

90 MHz in CDCl3


  • 1H NMR 89.56 MHz
    C6 H8 O2 0.04 ml : 0.5 ml CDCl3
    vinyl methacrylate
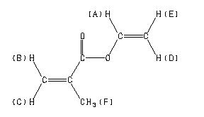
    ChemicalStructure
        Assign.     Shift(ppm)
    A 7.337 B 6.234 C 5.686 D 4.952 E 4.615 F 1.983 J(B,C)=1.6HZ J(B,F)=-1.0HZ J(C,F)=-1.6HZ

         Hz     ppm     Int.
    

        667.75   7.456    302
        661.44   7.386    333
        653.75   7.300    342
        647.50   7.230    365
        560.75   6.262     67
        559.75   6.251    220
        558.75   6.239    262
        558.31   6.234    277
        557.31   6.223    251
        556.38   6.213     94
        512.44   5.722     64
        510.88   5.705    248
        509.31   5.687    352
        507.81   5.671    256
        506.25   5.653     76
        450.94   5.036    334
        449.38   5.018    363
        437.00   4.880    288
        435.38   4.862    331
        417.19   4.659    329
        415.63   4.641    327
        410.94   4.589    333
        409.31   4.571    299
        178.94   1.998    865
        177.94   1.987    989
        177.31   1.980   1000
        176.38   1.970    910
    

in CDCl3



CCl4 solution



liquid film



4880 A,200 M,liquid