
2-甲基苯并呋喃
产品名称
2-甲基苯并呋喃
CAS号4265-25-2
分子式C9H8O
分子量132.16
InChIInChI=1S/C9H8O/c1-7-6-8-4-2-3-5-9(8)10-7/h2-6H,1H3
InChIKeyGBGPVUAOTCNZPT-UHFFFAOYSA-N
SmilesO1C2=CC=CC=C2C=C1C
展开
收起
-
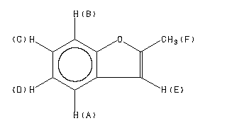
Assign. Shift(ppm)
A 7.456
B 7.395
C 7.19
D 7.16
E 6.355
F 2.441
J(E,F)=1.1HZ.
Spectral Code: 1H NMR : 400 MHz in CDCl3
-
ppm Int. Assign.
155.36 512 1
154.82 388 2
129.25 423 3
123.06 915 4
122.43 1000 5
120.07 831 6
110.63 861 7
102.59 791 8
13.95 552 9
Spectral Code: 13C NMR : in CDCl3
-
Spectral Code: IR : liquid film
2-甲基苯并呋喃(4265-25-2)红外图谱(IR1) 相关产品图谱