-
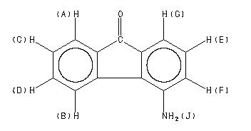
MS-NW-6466 4-amino-9-fluorenone C13H9NO (Mass of molecular ion: 195)
Source Temperature: 180 °C Sample Temperature: 100 °C Direct, 75 eV
18.0 2.6 28.0 1.1 39.0 1.3 51.0 1.0 62.0 1.0 63.0 2.2 69.5 3.2 70.0 1.7 70.5 3.0 74.0 1.1 75.0 1.0 82.5 1.7 83.5 6.4 84.0 1.3 87.0 1.3 89.0 1.4 97.5 2.6 113.0 1.6 114.0 1.4 115.0 1.5 138.0 1.1 139.0 11.7 140.0 6.3 141.0 1.0 164.0 1.3 166.0 14.8 167.0 26.6 168.0 4.2 194.0 2.1 195.0 100.0 196.0 14.8 197.0 1.2
400 MHz in DMSO-d6
-
1H NMR 399.65 MHz C13 H9 N O 0.037 g : 0.5 ml DMSO-d6 4-amino-9-fluorenone 
Assign. Shift(ppm)
A 7.876 B 7.59 C 7.56 D 7.271 E 7.118 F *1 6.97 G *1 6.95 J 5.76
Hz ppm Int.3151.61 7.886 558 3144.17 7.868 635 3036.74 7.599 515 3030.15 7.583 801 3029.42 7.581 781 3025.51 7.571 58 3022.83 7.564 622 3021.61 7.561 506 3015.26 7.545 322 3014.04 7.542 266 2913.21 7.290 383 2912.72 7.289 385 2905.64 7.271 656 2901.98 7.262 36 2898.44 7.253 309 2897.83 7.251 296 2853.27 7.140 373 2846.19 7.122 527 2845.21 7.120 539 2838.13 7.102 596 2790.89 6.984 642 2790.04 6.982 696 2782.71 6.963 587 2781.74 6.961 638 2780.64 6.958 808 2776.37 6.948 56 2773.68 6.941 625 2773.07 6.939 514 2301.15 5.758 1000
更多供应商






