-
MS-IW-3871 5-dimethylamino-1-naphthalenesulfonic acid C12H13NO3S H2O (Mass of molecular ion: 251)
Source Temperature: 180 °C Sample Temperature: 280 °C Direct, 75 eV
15.0 1.2 17.0 1.3 18.0 5.7 28.0 2.3 30.0 1.0 39.0 2.5 42.0 7.1 43.0 1.2 44.0 4.9 48.0 1.9 50.0 2.4 51.0 4.1 52.0 1.0 55.0 1.0 62.0 1.9 63.0 7.6 63.5 1.4 64.0 5.8 65.0 2.1 70.5 1.5 71.5 1.2 72.0 1.0 74.0 3.4 75.0 4.7 76.0 3.8 76.5 2.0 77.0 8.7 77.5 2.5 78.0 1.4 83.5 5.3 84.0 1.7 84.5 2.1 85.0 1.1 86.0 1.4 87.0 2.4 88.0 2.3 89.0 2.5 98.0 1.0 99.0 1.6 100.0 1.3 101.0 3.0 102.0 2.6 103.0 2.7 113.0 3.5 114.0 4.7 115.0 15.8 116.0 4.0 117.0 1.3 125.0 1.4 125.5 1.5 126.0 8.7 127.0 19.3 128.0 9.8 129.0 4.3 130.0 2.5 131.0 2.9 139.0 1.8 140.0 3.5 141.0 3.4 142.0 2.2 143.0 3.0 144.0 3.7 152.0 1.3 153.0 5.0 154.0 26.1 155.0 14.3 156.0 6.2 157.0 3.7 158.0 1.4 167.0 5.2 168.0 51.0 169.0 41.2 170.0 14.3 171.0 6.1 172.0 1.8 184.0 3.8 185.0 2.2 186.0 1.7 203.0 1.1 208.0 7.5 221.0 1.0 223.0 2.5 235.0 1.3 236.0 2.8 237.0 26.0 238.0 3.6 239.0 1.5 250.0 40.3 251.0 100.0 252.0 15.8 253.0 6.0 265.0 1.3
400 MHz in DMSO-d6
-
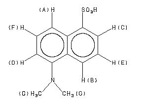
1H NMR 399.65 MHz C12 H13 N O3 S 0.033 g : 0.5 ml DMSO-d6 5-dimethylamino-1-naphthalenesulfonic acid 
Assign. Shift(ppm)
A 8.999 B 8.236 C 8.094 D 7.926 E 7.658 F 7.648 G 3.326 ASSIGNED BY H-H COSY.
Hz ppm Int.3601.07 9.011 89 3592.38 8.989 95 3296.05 8.248 83 3287.51 8.226 91 3239.29 8.106 116 3232.12 8.088 133 3231.20 8.086 122 3171.84 7.937 71 3164.22 7.918 82 3068.54 7.679 77 3064.58 7.669 86 3061.22 7.660 97 3059.84 7.657 93 3056.64 7.649 111 3055.88 7.647 104 3052.67 7.639 80 3048.10 7.627 75 1329.19 3.326 1000
更多供应商





