图谱信息 供应商 相关产品
网站主页CAS数据库列表 4289-95-6更多图谱N-甲酰基-DL-苯丙氨酸(4289-95-6)核磁图(1HNMR)

N-甲酰基-DL-苯丙氨酸

产品名称 N-甲酰基-DL-苯丙氨酸

CAS号4289-95-6

分子式C10H11NO3

分子量193.2

展开


  • Mass

    MS-NW-2496          
    N-formyl-DL-phenylalanine
    C10H11NO3           (Mass of molecular ion:    193)
    

       Source Temperature: 180 °C
       Sample Temperature: 130 °C
       Direct, 75 eV
    

          17.0       1.2
          18.0       6.3
          27.0       1.1
          28.0       8.3
          29.0       1.7
          39.0       4.3
          41.0       1.3
          42.0       1.0
          46.0       1.4
          50.0       1.4
          51.0       3.8
          52.0       1.0
          63.0       2.3
          65.0       9.4
          74.0       1.6
          77.0       4.2
          78.0       1.6
          89.0       1.8
          90.0       1.4
          91.0     100.0
          92.0      10.0
         102.0       1.6
         103.0       4.0
         104.0       1.8
         117.0       1.6
         118.0       2.8
         119.0       1.8
         120.0       4.4
         130.0       1.3
         131.0       1.5
         147.0      14.4
         148.0      40.7
         149.0       4.1
         175.0       4.9
         193.0       1.4
    

400 MHz in DMSO-d6


  • 1H NMR 399.65 MHz
    C10 H11 N O3 0.039 g : 0.5 ml DMSO-d6
    N-formyl-DL-phenylalanine
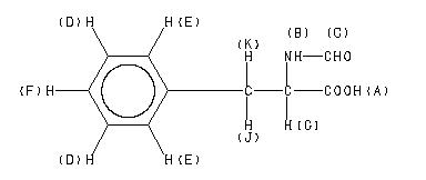
    ChemicalStructure
        Assign.     Shift(ppm)
    A 12.9 B 8.39 C 7.981 D 7.28 E 7.23 F 7.22 G 4.538 J *1 3.093 K *1 2.883 J(B,G)=8.1HZ J(G,J)=4.9HZ J(G,K)=9.2HZ J(J,K)=-13.9HZ

         Hz     ppm     Int.
    

       5148.07  12.882     41
       3358.05   8.403    189
       3349.93   8.383    191
       3190.30   7.983    564
       3189.66   7.982    570
       2923.84   7.317     41
       2921.06   7.310    160
       2919.99   7.307    243
       2918.50   7.303    129
       2917.43   7.300    124
       2916.57   7.298    119
       2912.73   7.289    555
       2911.66   7.286    471
       2908.03   7.277    218
       2905.68   7.271    668
       2900.98   7.259     88
       2899.27   7.255    111
       2892.21   7.237   1000
       2885.16   7.220    609
       2883.67   7.216    507
       2880.25   7.207    108
       2877.47   7.200     91
       2875.97   7.197    131
       2874.48   7.193     74
       1825.72   4.569     90
       1820.59   4.556    111
       1816.96   4.547    189
       1812.04   4.535    191
       1808.62   4.526    115
       1807.98   4.524    116
       1803.28   4.513     99
       1246.63   3.120    161
       1241.72   3.108    165
       1232.74   3.085    221
       1227.83   3.073    214
       1162.87   2.910    238
       1153.68   2.887    237
       1148.98   2.875    185
       1139.79   2.852    175
    

in DMSO-d6



KBr disc



4880 A,200 M,powder