图谱信息 供应商 相关产品
网站主页CAS数据库列表 4294-16-0更多图谱6-苄基腺苷(4294-16-0)红外图谱(IR1)

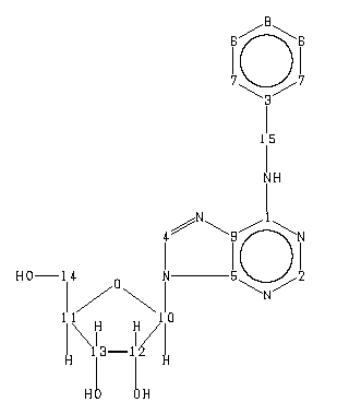
6-苄基腺苷

产品名称 6-苄基腺苷

CAS号4294-16-0

分子式C17H19N5O4

分子量357.36

展开



  •     Assign.     Shift(ppm)
    A 8.47 B 8.401 C 8.23 D 7.347 E 7.296 F 7.213 G 5.924 J 5.48 K 5.43 L 5.22 M 4.73 N 4.647 D 4.179 Q 3.997 R *1 3.695 S *1 3.580 ASSIGNED BY H-H COSY
    Spectral Code: 1H NMR : 400 MHz in DMSO-d6



  •        ppm   Int.  Assign.
    155.41 290 1 153.08 330 2 149.57 81 3 140.74 482 4 140.59 289 5 128.92 999 6 127.89 1000 7 127.35 386 8 120.40 190 9 88.80 326 10 86.66 342 11 74.33 361 12 71.40 375 13 62.43 291 14 44.08 105 15
    Spectral Code: 13C NMR : in DMSO-d6


  • Spectral Code: IR : KBr disc