图谱信息 供应商 相关产品
网站主页CAS数据库列表 43071-52-9更多图谱2-乙酰基-7-甲氧基苯并呋喃 (43071-52-9)质谱(MS)

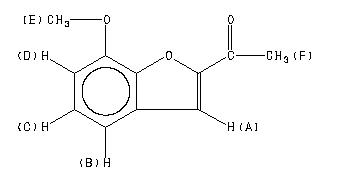
2-乙酰基-7-甲氧基苯并呋喃

产品名称 2-乙酰基-7-甲氧基苯并呋喃

CAS号43071-52-9

分子式C11H10O3

分子量190.2

展开



400 MHz in DMSO-d6


  • 1H NMR 399.65 MHz
    C11 H10 O3 0.039 g : 0.5 ml DMSO-d6
    2-acetyl-7-methoxybenzofuran
    ChemicalStructure
        Assign.     Shift(ppm)
    A 7.864 B 7.373 C 7.292 D 7.134 E 3.984 F 2.575

         Hz     ppm     Int.
    

       3143.07   7.865    435
       2952.15   7.387     89
       2951.17   7.385     98
       2944.34   7.368    149
       2943.24   7.365    146
       2921.75   7.311    124
       2913.82   7.291    213
       2906.01   7.272    102
       2855.35   7.145    110
       2854.37   7.143    115
       2847.41   7.125     89
       2846.44   7.123     88
       1592.29   3.985    873
       1029.42   2.576   1000
    

in DMSO-d6



KBr disc



nujol mull