图谱信息 供应商 相关产品
网站主页CAS数据库列表 4332-95-0更多图谱苯基硫代乙内酰脲-酪氨酸(4332-95-0)红外图谱(IR1)

苯基硫代乙内酰脲-酪氨酸

产品名称 苯基硫代乙内酰脲-酪氨酸

CAS号4332-95-0

分子式C16H14N2O2S

分子量298.36

展开

400 MHz in DMSO-d6


  • 1H NMR 399.65 MHz
    C16 H14 N2 O2 S 0.034 g : 0.5 ml DMSO-d6
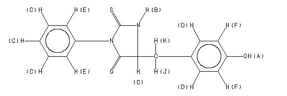
    5-(p-hydroxybenzyl)-3-phenyl-2-thioxo-4-imidazolidone
    ChemicalStructure
        Assign.     Shift(ppm)
    A 10.6 B 9.43 C 7.46 D 7.078 E 6.906 F 6.776 G 4.757 J *1 3.095 K *1 3.078

         Hz     ppm     Int.
    

       4254.77  10.647    324
       3769.93   9.434   1000
       2997.70   7.501     86
       2996.05   7.497     55
       2994.59   7.494    135
       2992.76   7.489     77
       2990.74   7.484     89
       2988.73   7.479    388
       2985.25   7.470    174
       2983.42   7.466    377
       2981.40   7.461    850
       2979.57   7.456    290
       2978.47   7.453    185
       2975.91   7.447    163
       2974.62   7.444    133
       2969.31   7.430     51
       2967.66   7.426     50
       2836.15   7.097     65
       2833.40   7.090    533
       2831.57   7.086    193
       2826.81   7.074    202
       2824.98   7.069    627
       2822.23   7.062     92
       2765.45   6.920    372
       2763.43   6.915    337
       2761.42   6.910    150
       2759.04   6.904    180
       2757.39   6.900    409
       2755.74   6.896    366
       2752.63   6.888     52
       2715.08   6.794     82
       2712.33   6.787    705
       2710.31   6.782    221
       2707.93   6.776     53
       2705.74   6.771    204
       2703.72   6.766    652
       2700.97   6.759     84
       1905.30   4.768    119
       1901.45   4.758    256
       1896.69   4.746    120
       1247.36   3.122     32
       1237.29   3.096    257
       1234.73   3.090    297
       1233.81   3.088    295
       1230.51   3.079    245
       1220.99   3.056     37
       1216.41   3.044     30
    

in DMSO-d6



KBr disc