图谱信息 供应商 相关产品
网站主页CAS数据库列表 4332-97-2更多图谱苯基硫代乙内酰脲-苯丙氨酸(4332-97-2)核磁图(1HNMR)

苯基硫代乙内酰脲-苯丙氨酸

产品名称 苯基硫代乙内酰脲-苯丙氨酸

CAS号4332-97-2

分子式C16H14N2OS

分子量282.36

展开


  • Mass

    MS-IW-9711          
    5-benzyl-3-phenyl-2-thioxo-4-imidazolidone
    C16H14N2OS          (Mass of molecular ion:    282)
    

       Source Temperature: 160 °C
       Sample Temperature: 140 °C
       Direct, 75 eV
    

          28.0       4.0
          39.0       1.9
          50.0       1.1
          51.0       4.5
          59.0       1.3
          63.0       1.2
          65.0       4.4
          76.0       1.1
          77.0      13.6
          78.0       3.1
          89.0       1.1
          90.0       1.2
          91.0     100.0
          92.0       9.5
          93.0       1.0
         103.0       3.1
         104.0       3.6
         109.0       1.5
         117.0       1.3
         118.0       1.4
         119.0       1.3
         128.0       1.3
         131.0       1.2
         135.0       6.9
         136.0      10.3
         137.0       1.2
         191.0       5.5
         204.0       1.1
         249.0       3.2
         253.0       1.1
         282.0      28.9
         283.0       5.5
         284.0       1.8
    

400 MHz in DMSO-d6


  • 1H NMR 399.65 MHz
    C16 H14 N2 O S 0.034 g : 0.5 ml DMSO-d6
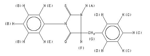
    5-benzyl-3-phenyl-2-thioxo-4-imidazolidone
    ChemicalStructure
        Assign.     Shift(ppm)
    A 10.6 B 7.37 C 7.31 D 7.21 E 6.782 F 4.769 G 3.125

         Hz     ppm     Int.
    

       4247.26  10.628    343
       2960.89   7.409    114
       2959.24   7.405     70
       2957.41   7.401    177
       2955.76   7.396    107
       2954.11   7.392    108
       2951.91   7.387    495
       2948.06   7.377    263
       2947.15   7.375    393
       2944.77   7.369   1000
       2943.12   7.365    417
       2942.20   7.362    244
       2939.64   7.356    203
       2938.17   7.352    160
       2934.69   7.344    104
       2933.05   7.340    120
       2931.03   7.334    157
       2929.38   7.330    113
       2928.28   7.328     99
       2925.72   7.321    432
       2924.99   7.319    365
       2924.07   7.317    289
       2921.69   7.311    379
       2920.59   7.308    435
       2918.57   7.303    872
       2917.48   7.301    503
       2914.18   7.292    210
       2912.90   7.289    162
       2907.95   7.277     62
       2906.30   7.273     51
       2892.02   7.237     41
       2887.80   7.226    534
       2885.42   7.220    416
       2883.59   7.216    215
       2882.86   7.214    212
       2881.94   7.212    226
       2880.11   7.207    412
       2878.46   7.203    342
       2875.53   7.196     53
       2715.99   6.796    477
       2713.79   6.791    399
       2711.96   6.786    191
       2707.93   6.776    499
       2706.28   6.772    442
       2702.99   6.764     64
       1910.24   4.780    150
       1906.58   4.771    328
       1905.66   4.769    325
       1901.82   4.759    155
       1251.21   3.131    578
       1246.81   3.120    553
    

in DMSO-d6



KBr disc



nujol mull