-
MS-NW-4861 3-methyl-2(3H)-benzothiazolone hydrazone hydrochloride C8H9N3S HCl H2O (Mass of molecular ion: 179)
Source Temperature: 160 °C Sample Temperature: 120 °C Direct, 75 eV
15.0 1.4 17.0 1.2 18.0 6.8 28.0 1.6 30.0 1.4 35.0 2.1 36.0 26.7 38.0 8.5 39.0 2.6 42.0 1.3 45.0 3.6 50.0 1.4 51.0 2.3 63.0 2.0 65.0 8.8 69.0 4.3 76.0 1.0 77.0 5.6 78.0 2.4 82.0 1.3 89.5 2.3 90.0 1.5 91.0 1.4 95.0 1.1 96.0 1.6 104.0 1.3 105.0 1.1 108.0 6.1 109.0 30.0 110.0 2.7 111.0 1.5 117.0 1.8 121.0 2.4 122.0 2.7 134.0 1.2 135.0 7.4 136.0 30.6 137.0 3.2 138.0 1.6 148.0 3.0 149.0 6.7 150.0 2.8 161.0 2.3 162.0 1.1 163.0 36.7 164.0 10.1 165.0 2.7 178.0 1.7 179.0 100.0 180.0 11.2 181.0 5.2
400 MHz in D2O
-
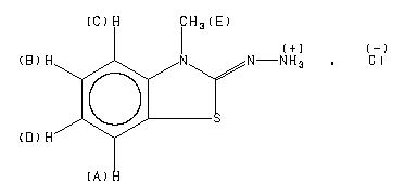
1H NMR 399.65 MHz C8 H9 N3 S 0.042 g : 0.5 ml D2O 3-methyl-2(3H)-benzothiazolone hydrazone hydrochloride 
Assign. Shift(ppm)
A 7.733 B 7.539 C 7.39 D 7.36 E 3.512
Hz ppm Int.3094.60 7.744 210 3086.67 7.724 233 3021.73 7.561 103 3021.48 7.561 103 3013.92 7.542 236 3005.86 7.522 161 2958.86 7.404 176 2950.93 7.384 372 2943.24 7.365 184 2942.14 7.362 186 2941.04 7.360 171 1403.69 3.513 1000 1392.09 3.484 27
更多供应商




