图谱信息 供应商 相关产品
网站主页CAS数据库列表 434-03-7更多图谱炔孕酮(434-03-7)Raman光谱

炔孕酮

产品名称 炔孕酮

CAS号434-03-7

分子式C21H28O2

分子量312.45

展开

400 MHz in CDCl3


  • 1H NMR 399.65 MHz
    C21 H28 O2 saturated in CDCl3
    17beta-hydroxy-17alpha-pregn-4-en-20-yn-3-one
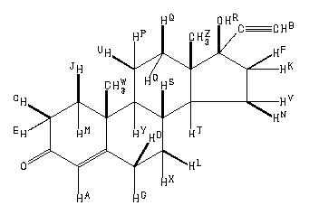
    ChemicalStructure
        Assign.     Shift(ppm)
    A 5.733 B 2.576 C 2.43 D 2.39 E 2.36 F *1 2.31 G 2.28 J 2.05 K *1 2.01 L 1.852 M 1.73 N *2 1.70 P 1.66 Q 1.75 to 1.63 R 1.61 S 1.59 T 1.49 U 1.43 V *2 1.36 W 1.201 X 1.06 Y 0.98 Z 0.898 ASSIGNED BY H-H COSY.

         Hz     ppm     Int.
    

       2293.82   5.740    157
       2293.58   5.739    157
       2292.72   5.737    159
       2292.36   5.736    160
       2291.75   5.735    162
       1030.03   2.578    667
        974.12   2.438     86
        969.12   2.425     86
        959.84   2.402    124
        954.96   2.390    127
        953.13   2.385     69
        952.76   2.384     66
        952.27   2.383     65
        951.78   2.382     62
        949.22   2.376     69
        948.36   2.373     79
        947.27   2.371     95
        946.53   2.369    104
        944.09   2.363     80
        943.24   2.361     74
        935.67   2.342     63
        930.18   2.328     67
        929.93   2.327     67
        925.90   2.317     70
        921.75   2.307     95
        920.41   2.304    124
        918.58   2.299     81
        916.14   2.293    115
        911.99   2.282     66
        906.49   2.269     75
        905.76   2.267     59
        825.56   2.066     52
        817.14   2.045     60
        815.43   2.041     69
        813.11   2.035     80
        812.38   2.033     79
        810.30   2.028     62
        807.01   2.020     54
        805.30   2.016     68
        801.39   2.006     66
        799.32   2.001     57
        705.69   1.766     55
        705.08   1.765     59
        700.07   1.752     86
        695.56   1.741     58
        694.82   1.739     59
        694.21   1.738     55
        691.04   1.730    129
        686.40   1.718    143
        683.84   1.712     58
        683.47   1.711     57
        678.10   1.697     84
        675.42   1.691    133
        674.07   1.687    101
        672.36   1.683     82
        669.92   1.677     67
        667.60   1.671     67
        666.75   1.669     64
        664.92   1.664    117
        663.33   1.660     67
        663.09   1.660     67
        661.87   1.657     80
        660.77   1.654     87
        659.67   1.651    101
        656.86   1.644     63
        656.37   1.643     62
        654.42   1.638     86
        651.73   1.631     55
        650.27   1.628     63
        642.21   1.607    698
        640.26   1.603     72
        639.89   1.602     69
        636.23   1.592     53
        628.78   1.574     81
        625.49   1.566     56
        625.00   1.564     52
        610.47   1.528     57
        598.63   1.498     79
        591.67   1.481     88
        588.26   1.472     63
        580.81   1.454     82
        580.20   1.452     70
        576.05   1.442     57
        563.11   1.410     81
        551.39   1.380     82
        545.78   1.366     73
        539.55   1.351     59
        534.18   1.337     56
        480.83   1.204    937
        406.86   1.019     60
        402.71   1.008     64
        392.46   0.983     56
        392.09   0.982     57
        359.62   0.900    979
        359.13   0.899   1000
    

KBr disc