-
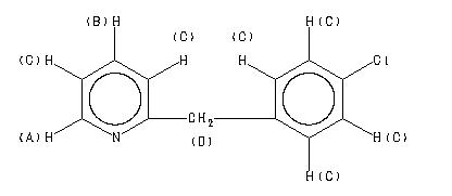
MS-NW-5829 2-(p-chlorobenzyl)pyridine C12H10ClN (Mass of molecular ion: 203)
Source Temperature: 260 °C Sample Temperature: 190 °C Reservoir, 75 eV
18.0 1.2 27.0 1.8 28.0 1.2 38.0 1.2 39.0 4.5 50.0 3.1 51.0 6.2 52.0 2.1 62.0 1.7 63.0 5.1 64.0 1.2 65.0 2.6 69.5 1.0 70.5 3.3 73.0 1.1 74.0 1.3 75.0 2.7 77.0 1.0 78.0 3.5 82.5 1.4 83.5 13.6 84.0 2.2 87.0 1.0 89.0 6.5 90.0 2.2 99.0 2.2 101.0 1.1 111.0 1.2 113.0 1.1 114.0 1.1 115.0 1.9 125.0 7.5 126.0 1.0 127.0 2.7 139.0 4.3 140.0 2.6 141.0 1.7 165.0 1.2 166.0 6.3 167.0 56.0 168.0 16.9 169.0 2.7 189.0 1.4 201.0 2.8 202.0 100.0 203.0 40.9 204.0 36.7 205.0 13.2 206.0 1.6
400 MHz in CDCl3
90 MHz in CDCl3
-
1H NMR 399.65 MHz C12 H10 Cl N 0.05 ml : 0.5 ml CDCl3 2-(p-chlorobenzyl)pyridine 
Assign. Shift(ppm)
A 8.52 B 7.539 C 7.232 D 7.173 E 7.08 F 7.07 G 4.091
Hz ppm Int.3409.42 8.532 157 3404.66 8.520 153 3022.22 7.563 130 3020.26 7.558 140 3014.40 7.543 251 3012.57 7.539 275 3006.84 7.524 152 3005.00 7.520 157 2900.63 7.258 33 2898.19 7.252 91 2895.87 7.247 448 2893.80 7.241 222 2889.40 7.230 251 2887.33 7.225 842 2885.01 7.219 214 2881.10 7.210 41 2878.30 7.203 34 2876.10 7.197 46 2872.19 7.187 142 2871.58 7.186 132 2870.00 7.182 657 2867.68 7.176 259 2863.40 7.165 148 2861.82 7.161 314 2861.21 7.160 396 2836.18 7.097 115 2834.96 7.094 174 2830.20 7.082 354 2829.10 7.079 379 2822.51 7.063 286 2821.41 7.060 290 1635.01 4.092 1000
-
1H NMR 89.56 MHz C12 H10 Cl N 0.04 ml : 0.5 ml CDCl3 2-(p-chlorobenzyl)pyridine 
Assign. Shift(ppm)
A 8.53 B 7.55 C 7.33 to 7.00 D 4.103
Hz ppm Int.767.88 8.574 93 766.00 8.553 119 765.19 8.544 85 764.13 8.533 60 762.13 8.510 117 761.06 8.498 89 760.25 8.489 91 686.06 7.661 63 684.19 7.640 65 678.44 7.576 158 677.25 7.562 92 675.88 7.547 96 670.88 7.491 129 668.94 7.470 128 655.63 7.321 57 655.25 7.317 56 654.44 7.308 59 652.25 7.283 44 650.75 7.267 54 649.56 7.253 65 646.56 7.220 1000 645.69 7.210 703 644.88 7.201 820 641.81 7.167 112 640.88 7.156 164 638.38 7.128 162 636.94 7.112 316 636.50 7.107 295 634.50 7.085 89 633.19 7.071 88 630.81 7.044 89 629.50 7.029 190 628.69 7.020 155 367.44 4.103 736
更多供应商





