图谱信息 供应商 相关产品
网站主页CAS数据库列表 4358-88-7更多图谱乙基 DL-扁桃酸盐(4358-88-7)红外图谱(IR1)

乙基 DL-扁桃酸盐

产品名称 乙基 DL-扁桃酸盐

CAS号4358-88-7

分子式C10H12O3

分子量180.2

展开


  • Mass

    MS-NW-2739          
    ethyl DL-mandelate
    C10H12O3            (Mass of molecular ion:    180)
    

       Source Temperature: 280 °C
       Sample Temperature: 180 °C
       Reservoir, 75 eV
    

          27.0       4.1
          28.0       3.8
          29.0       7.3
          31.0       2.0
          39.0       2.1
          45.0       1.1
          50.0       2.3
          51.0       7.0
          52.0       1.8
          53.0       1.3
          63.0       1.1
          77.0      25.6
          78.0       4.4
          79.0      43.8
          80.0       3.0
          89.0       1.1
          90.0       1.3
          91.0       1.1
         105.0      14.4
         106.0       3.6
         107.0     100.0
         108.0       7.8
         118.0       1.0
         180.0       4.7
    

400 MHz in CDCl3

90 MHz in CDCl3


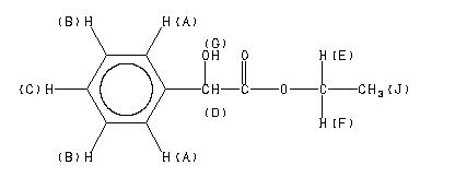
  • 1H NMR 399.65 MHz
    C10 H12 O3 0.05 ml : 0.5 ml CDCl3
    ethyl DL-mandelate
    ChemicalStructure
        Assign.     Shift(ppm)
    A 7.41 B 7.32 C 7.29 D 5.144 E *1 4.201 F *1 4.120 G 3.95 J 1.171

         Hz     ppm     Int.
    

       2965.33   7.420    194
       2963.62   7.416    249
       2961.55   7.411     98
       2957.03   7.400    325
       2956.54   7.398    308
       2955.69   7.396    318
       2953.13   7.390     62
       2935.55   7.346    123
       2933.47   7.341    142
       2931.64   7.336     80
       2929.32   7.330     83
       2926.88   7.324    392
       2925.29   7.320    167
       2921.02   7.309    149
       2919.43   7.305    277
       2918.21   7.302    182
       2916.38   7.298    264
       2914.79   7.294    149
       2912.60   7.288     80
       2909.55   7.281    175
       2905.76   7.271     40
       2903.93   7.267     39
       2902.34   7.263     57
       2901.00   7.259     33
       2055.79   5.144    473
       1696.90   4.246     38
       1689.70   4.228    114
       1686.04   4.219     70
       1682.62   4.211    117
       1678.96   4.202    202
       1675.42   4.193     47
       1671.75   4.184    202
       1664.67   4.166     72
       1661.25   4.157     70
       1654.17   4.140    197
       1650.51   4.130     45
       1647.09   4.122    197
       1643.43   4.113    116
       1639.89   4.104     72
       1636.23   4.095    114
       1629.15   4.077     41
       1578.86   3.951     65
        475.22   1.190    582
        468.14   1.172   1000
        463.99   1.161     45
        460.94   1.154    574
    


  • 1H NMR 89.56 MHz
    C10 H12 O3 0.04 ml : 0.5 ml CDCl3
    ethyl DL-mandelate
    ChemicalStructure
        Assign.     Shift(ppm)
    A 7.75 to 7.17 B 5.143 C 4.19 D 3.62 E 1.197

         Hz     ppm     Int.
    

        684.25   7.641     30
        683.69   7.634     33
        683.31   7.630     33
        681.06   7.605     34
        668.94   7.470     46
        666.75   7.445     89
        664.81   7.424     68
        661.88   7.391    185
        660.13   7.371    454
        658.38   7.352    516
        657.75   7.345    518
        657.13   7.338    386
        654.94   7.313    206
        654.56   7.309    213
        653.44   7.297    160
        652.44   7.285     91
        649.63   7.254     56
        648.56   7.242     80
        460.56   5.143    374
        387.06   4.322     64
        384.56   4.294     60
        383.31   4.280     30
        379.81   4.241    177
        377.50   4.216    171
        372.63   4.161    192
        370.44   4.137    177
        366.63   4.094     35
        365.44   4.081     80
        363.44   4.059     68
        324.13   3.620    199
        114.06   1.274    459
        109.31   1.221     32
        107.00   1.195   1000
         99.81   1.115    408
    

in CDCl3



liquid film



4880 A,200 M,powder