图谱信息 供应商 相关产品
网站主页CAS数据库列表 4363-93-3更多图谱4-喹啉甲醛(4363-93-3)红外图谱(IR1)

4-喹啉甲醛

产品名称 4-喹啉甲醛

CAS号4363-93-3

分子式C10H7NO

分子量157.17

展开


  • Mass

    MS-NW-8916          
    4-quinolinecarbaldehyde
    C10H7NO             (Mass of molecular ion:    157)
    

       Source Temperature: 280 °C
       Sample Temperature: 150 °C
       Reservoir, 75 eV
    

          18.0       1.9
          38.0       1.1
          39.0       2.5
          50.0       6.7
          51.0      12.8
          52.0       2.8
          62.0       2.4
          63.0       4.0
          64.0       2.1
          64.5       3.7
          74.0       8.0
          75.0      22.4
          76.0       8.7
          77.0       4.2
          78.0       2.8
          78.5       1.7
          98.0       1.3
          99.0       1.4
         100.0       2.4
         101.0      27.5
         102.0      26.9
         103.0       6.0
         127.0       1.4
         128.0      54.5
         129.0      76.3
         130.0       7.8
         156.0       8.4
         157.0     100.0
         158.0      12.0
         159.0       1.0
    

400 MHz in CDCl3


  • 1H NMR 399.65 MHz
    C10 H7 N O 0.038 g : 0.5 ml CDCl3
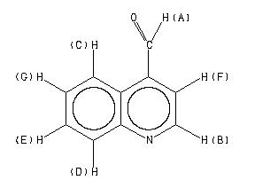
    4-quinolinecarbaldehyde
    ChemicalStructure
        Assign.     Shift(ppm)
    A 10.498 B 9.182 C 8.996 D 8.208 E 7.811 F 7.768 G 7.721

         Hz     ppm     Int.
    

       4194.79  10.497   1000
       3671.88   9.188    381
       3667.76   9.178    391
       3600.77   9.010    176
       3600.31   9.009    185
       3599.55   9.007    189
       3591.92   8.988    191
       3591.00   8.986    198
       3285.52   8.221    178
       3284.61   8.219    188
       3276.98   8.200    201
       3276.21   8.198    207
       3130.80   7.834    119
       3129.27   7.831    131
       3123.78   7.817    175
       3122.41   7.813    261
       3120.88   7.810    120
       3115.39   7.796    169
       3113.86   7.792    161
       3106.69   7.774    473
       3102.57   7.764    470
       3093.57   7.741    166
       3092.19   7.738    173
       3086.70   7.724    118
       3085.02   7.720    246
       3083.65   7.716    173
       3078.16   7.703    119
       3076.78   7.699    117
    

in CDCl3



KBr disc



nujol mull