图谱信息 供应商 相关产品
网站主页CAS数据库列表 4370-90-5更多图谱苯基硫代乙内酰脲-蛋氨酸(4370-90-5)红外图谱(IR1)

苯基硫代乙内酰脲-蛋氨酸

产品名称 苯基硫代乙内酰脲-蛋氨酸

CAS号4370-90-5

分子式C12H14N2OS2

分子量266.38

展开


  • Mass

    MS-NW-2028          
    5-(2-(methylthio)ethyl)-3-phenyl-2-thioxo-4-imidazolidone
    C12H14N2OS2         (Mass of molecular ion:    266)
    

       Source Temperature: 200 °C
       Sample Temperature: 140 °C
       Direct, 75 eV
    

          15.0       1.1
          17.0       1.3
          18.0       6.4
          27.0       5.4
          28.0       9.8
          29.0       1.2
          35.0       2.6
          38.0       1.1
          39.0       5.7
          41.0       7.6
          42.0       3.5
          45.0       6.9
          46.0       2.0
          47.0      10.3
          48.0       7.2
          49.0       1.3
          50.0       2.5
          51.0       9.6
          52.0       1.2
          54.0       4.7
          55.0       5.1
          56.0      12.8
          57.0       4.2
          59.0       2.5
          60.0       1.7
          61.0      18.3
          62.0       1.4
          63.0       2.1
          64.0       2.0
          65.0       1.9
          70.0       1.0
          71.0       1.3
          72.0       1.8
          73.0       1.6
          74.0       1.6
          75.0       7.5
          76.0       1.7
          77.0      29.6
          78.0       4.7
          84.0       9.2
          86.0       1.4
          88.0       4.7
          91.0       2.8
          92.0       1.2
          93.0       3.5
          94.0       1.1
          98.0       2.3
          99.0       2.0
         102.0       1.8
         103.0       2.4
         104.0       5.4
         105.0       1.1
         109.0       3.3
         112.0      10.0
         118.0       1.6
         119.0       1.3
         120.0       1.6
         130.0       1.0
         134.0       1.1
         135.0      15.7
         136.0      23.3
         137.0       2.8
         138.0       1.1
         146.0       4.3
         147.0       1.9
         158.0       1.2
         160.0       1.2
         177.0       1.6
         186.0       1.1
         187.0       1.1
         189.0       3.3
         191.0       6.3
         192.0      47.1
         193.0       5.7
         194.0       2.5
         203.0       4.3
         204.0       7.1
         205.0      84.2
         206.0      10.8
         207.0       4.6
         217.0       6.1
         218.0      14.0
         219.0       2.3
         220.0       1.0
         264.0       2.4
         266.0     100.0
         267.0      15.3
         268.0       9.9
         269.0       1.4
    

400 MHz in DMSO-d6


  • 1H NMR 399.65 MHz
    C12 H14 N2 O S2 0.030 g : 0.5 ml DMSO-d6
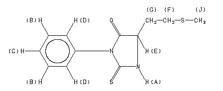
    5-(2-(methylthio)ethyl)-3-phenyl-2-thioxo-4-imidazolidone
    ChemicalStructure
        Assign.     Shift(ppm)
    A 10.6 B 7.481 C 7.431 D 7.297 E 4.532 F 2.651 G 2.07 J 2.060

         Hz     ppm     Int.
    

       4240.30  10.611     53
       3000.08   7.507     31
       2998.62   7.504     56
       2991.66   7.486    147
       2990.01   7.482     81
       2985.61   7.471     57
       2984.15   7.467    139
       2983.42   7.466     98
       2976.46   7.448     40
       2974.99   7.444     80
       2973.52   7.441     53
       2967.66   7.426     82
       2921.51   7.311    117
       2920.04   7.307    180
       2917.84   7.301     42
       2914.55   7.293     67
       2913.08   7.290    131
       2912.53   7.288    108
       2911.80   7.286    106
       1817.74   4.549     41
       1812.43   4.536     52
       1810.97   4.532     61
       1805.66   4.519     43
       1066.94   2.670     68
       1059.62   2.652    161
       1052.47   2.634     79
        837.44   2.096     41
        831.94   2.082     44
        823.33   2.061   1000
        816.92   2.045     60
        809.60   2.026     37
    

in DMSO-d6



KBr disc