图谱信息 供应商 相关产品
网站主页CAS数据库列表 4389-50-8更多图谱2-氨基-6-甲基苯甲酸(4389-50-8)质谱(MS)

2-氨基-6-甲基苯甲酸

产品名称 2-氨基-6-甲基苯甲酸

CAS号4389-50-8

分子式C8H9NO2

分子量151.16

展开


  • Mass

    MS-NW-6845          
    2-amino-6-methylbenzoic acid
    C8H9NO2             (Mass of molecular ion:    151)
    

       Source Temperature: 270 °C
       Sample Temperature: 190 °C
       Reservoir, 75 eV
    

          18.0       2.1
          27.0       2.6
          28.0       2.1
          37.0       1.2
          38.0       2.7
          39.0       7.1
          40.0       1.2
          41.0       1.9
          42.0       1.0
          44.0       5.0
          45.0       1.2
          50.0       3.0
          51.0       7.7
          51.5       1.5
          52.0       6.9
          52.5       5.0
          53.0       4.4
          53.5       1.9
          54.0       1.7
          62.0       1.7
          63.0       3.6
          64.0       1.8
          65.0       3.4
          66.0       2.0
          66.5       4.2
          67.0       1.6
          75.0       1.2
          76.0       2.0
          77.0      15.2
          78.0      16.5
          79.0       8.8
          80.0       1.8
          89.0       2.4
          90.0       2.2
          91.0       1.3
         104.0      21.0
         105.0      18.0
         106.0      39.8
         107.0      13.9
         108.0       1.2
         133.0     100.0
         134.0      11.8
         151.0      59.4
         152.0       5.8
    

400 MHz in DMSO-d6


  • 1H NMR 399.65 MHz
    C8 H9 N O2 0.035 g : 0.5 ml DMSO-d6
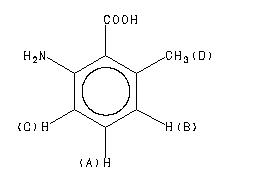
    2-amino-6-methylbenzoic acid
    ChemicalStructure
        Assign.     Shift(ppm)
    A 7.008 B 6.591 C 6.385 D 2.347

         Hz     ppm     Int.
    

       2808.99   7.029    123
       2801.51   7.010    166
       2800.75   7.009    164
       2793.43   6.990    146
       2638.24   6.602    147
       2630.16   6.582    136
       2555.39   6.395    146
       2548.07   6.376    140
        938.11   2.348   1000
    

in CDCl3

in DMSO-d6





KBr disc



nujol mull