400 MHz in DMSO-d6
-
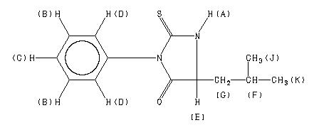
1H NMR 399.65 MHz C13 H16 N2 O S 0.037 g : 0.5 ml DMSO-d6 5-isobutyl-3-phenyl-2-thioxo-4-imidazolidone 
Assign. Shift(ppm)
A 10.7 B 7.482 C 7.431 D 7.270 E 4.453 F 1.908 G 1.649 J *1 0.936 K *1 0.929
Hz ppm Int.4260.82 10.662 232 3000.45 7.508 98 2998.99 7.505 179 2997.15 7.500 87 2991.84 7.487 465 2990.38 7.483 260 2985.80 7.472 179 2984.33 7.468 406 2981.77 7.461 86 2976.27 7.448 126 2974.81 7.444 241 2973.52 7.441 163 2970.04 7.432 88 2967.66 7.426 254 2964.73 7.419 62 2961.62 7.411 53 2960.34 7.408 78 2959.05 7.405 44 2910.70 7.284 360 2909.23 7.280 557 2907.04 7.274 144 2903.74 7.266 208 2902.27 7.263 389 2900.99 7.259 341 2898.43 7.253 56 1787.34 4.473 89 1786.24 4.470 94 1780.01 4.454 184 1773.78 4.439 97 1772.50 4.436 99 777.54 1.946 37 770.95 1.930 70 763.44 1.911 92 756.84 1.894 85 750.07 1.877 50 665.81 1.666 212 659.22 1.650 329 657.57 1.646 195 652.44 1.633 168 651.52 1.631 179 377.51 0.945 992 374.76 0.938 1000 370.91 0.929 992 368.16 0.922 949 356.99 0.894 30
更多供应商



