图谱信息 供应商 相关产品
网站主页CAS数据库列表 4439-02-5更多图谱胡椒乙腈(4439-02-5)红外图谱(IR2)

胡椒乙腈

产品名称 胡椒乙腈

CAS号4439-02-5

分子式C9H7NO2

分子量161.16

展开


  • Mass

    MS-IW-0714          
    (3,4-methylenedioxyphenyl)acetonitrile
    C9H7NO2             (Mass of molecular ion:    161)
    

       Source Temperature: 240 °C
       Sample Temperature: 160 °C
       Reservoir, 75 eV
    

          27.0       1.0
          28.0       4.6
          29.0       1.6
          31.0       2.5
          38.0       1.5
          39.0       2.3
          43.0       1.1
          45.0       1.6
          50.0       5.1
          51.0       5.7
          52.0       2.1
          53.0       1.7
          62.0       1.9
          63.0       5.0
          64.0       1.5
          65.0       1.8
          65.5       1.2
          66.0       1.4
          74.0       1.1
          75.0       4.0
          76.0      14.0
          77.0       9.3
          78.0       2.4
          80.0       1.9
          80.5       1.8
         102.0       4.3
         103.0      29.9
         104.0       5.3
         105.0       5.3
         130.0       2.5
         131.0      25.9
         132.0       4.0
         135.0       2.4
         160.0      88.5
         161.0     100.0
         162.0      10.3
    

400 MHz in CDCl3


  • 1H NMR 399.65 MHz
    C9 H7 N O2 0.040 g : 0.5 ml CDCl3
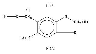
    (3,4-methylenedioxyphenyl)acetonitrile
    ChemicalStructure
        Assign.     Shift(ppm)
    A 6.78 B 5.970 C 3.649

         Hz     ppm     Int.
    

       2717.65   6.801     39
       2716.80   6.798     34
       2712.04   6.787    182
       2711.43   6.785    195
       2710.69   6.783    254
       2709.59   6.780    451
       2708.74   6.778    290
       2708.13   6.777    250
       2706.79   6.773    155
       2699.95   6.756     25
       2699.34   6.755     23
       2698.61   6.753     24
       2386.23   5.971   1000
       1458.37   3.650    611
    

in CDCl3



KBr disc



nujol mull