图谱信息 供应商 相关产品
网站主页CAS数据库列表 4478-76-6更多图谱酸性红80(4478-76-6)红外图谱(IR1)

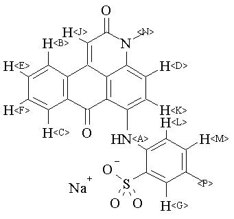
酸性红80

产品名称 酸性红80

CAS号4478-76-6

分子式C24H19N2NaO5S

分子量470.47

展开

400 MHz in DMSO-d6 at 50.C


  • 1H NMR 399.65 MHz
    C24 H17 N2 Na O5 S 0.023 g : 0.5 ml DMSO-d6 at 50 C
    Alizarin Rubinol R
    ChemicalStructure
        Assign.     Shift(ppm)
    A 11.8 B 8.459 C 8.373 D 7.827 E 7.80 F 7.74 G 7.705 J 7.653 K 7.557 L 7.338 M 7.180 N 3.712 P 2.342

         Hz     ppm     Int.
    

       4742.18  11.866    216
       3384.92   8.470    121
       3377.22   8.451    126
       3350.85   8.385    113
       3349.75   8.382    113
       3343.34   8.366    126
       3341.87   8.362    120
       3133.61   7.841    159
       3127.93   7.827     32
       3123.90   7.817    228
       3116.94   7.800    115
       3115.66   7.796    113
       3109.25   7.780     94
       3107.79   7.777     87
       3105.04   7.770     31
       3101.38   7.761    102
       3100.64   7.759    104
       3098.08   7.752     32
       3097.53   7.751     32
       3093.50   7.741    132
       3086.36   7.723     66
       3085.81   7.722     66
       3080.68   7.709    193
       3078.85   7.704    191
       3058.51   7.653    336
       3024.99   7.570    188
       3015.29   7.545    165
       2937.26   7.350    147
       2929.20   7.330    185
       2873.33   7.190    104
       2871.87   7.186    100
       2871.50   7.186    101
       2865.09   7.169     82
       2863.44   7.165     78
       1483.83   3.713   1000
        936.53   2.344    786
    

KBr disc



nujol mull