图谱信息 供应商 相关产品
网站主页CAS数据库列表 4506-71-2更多图谱2-氨基-4,5,6,7-四氢苯并噻酚-3-羧酸乙酯(4506-71-2)核磁图(13CNMR)

2-氨基-4,5,6,7-四氢苯并噻酚-3-羧酸乙酯

产品名称 2-氨基-4,5,6,7-四氢苯并噻酚-3-羧酸乙酯

CAS号4506-71-2

分子式C11H15NO2S

分子量225.31

展开


  • Mass

    MS-IW-8161          
    ethyl 2-amino-4,5,6,7-tetrahydrobenzo(b)thiophene-3-carboxylate
    C11H15NO2S          (Mass of molecular ion:    225)
    

       Source Temperature: 160 °C
       Sample Temperature: 140 °C
       Direct, 75 eV
    

          27.0       1.9
          28.0       1.1
          29.0       2.4
          39.0       2.6
          41.0       1.6
          45.0       2.3
          51.0       1.2
          52.0       1.0
          53.0       1.4
          60.0       1.7
          65.0       3.2
          66.0       2.1
          67.0       1.6
          69.0       1.0
          71.0       1.2
          76.0       1.2
          77.0       2.8
          78.0       1.9
          79.0       2.1
          80.0       1.1
          84.0       1.7
          89.0       1.0
          90.0       1.1
          91.0       5.7
          92.0       1.1
          96.0       1.3
          97.0       1.4
         111.0       1.4
         116.0       1.6
         117.0       1.8
         118.0       3.4
         119.0       2.6
         121.0       1.3
         122.0       1.1
         123.0       4.1
         124.0       3.8
         125.0       8.0
         136.0       1.0
         146.0       3.8
         150.0       3.0
         151.0      39.8
         152.0       5.6
         153.0       3.4
         168.0       1.0
         178.0      10.5
         179.0     100.0
         180.0      19.1
         181.0       6.0
         196.0       1.3
         197.0       2.7
         224.0       1.5
         225.0      48.4
         226.0       6.6
         227.0       2.8
    

400 MHz in CDCl3


  • 1H NMR 399.65 MHz
    C11 H15 N O2 S 0.039 g : 0.5 ml CDCl3
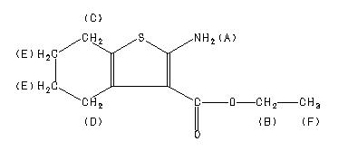
    ethyl 2-amino-4,5,6,7-tetrahydrobenzo(b)thiophene-3-carboxylate
    ChemicalStructure
        Assign.     Shift(ppm)
    A 6.0 B 4.254 C 2.70 D 2.49 E 1.75 F 1.330

         Hz     ppm     Int.
    

       1711.06   4.282    167
       1703.98   4.264    500
       1696.78   4.246    520
       1689.70   4.228    176
       1084.11   2.713    101
       1080.08   2.703    115
       1078.13   2.698    186
       1076.42   2.694    106
       1074.10   2.688     96
       1072.14   2.683    102
       1002.44   2.509     89
       1000.49   2.504     90
        998.29   2.498    103
        996.46   2.494    188
        994.51   2.489    119
        990.48   2.479    108
        711.55   1.781     94
        709.59   1.776     78
        707.89   1.772     86
        705.20   1.765    126
        703.86   1.762    143
        702.64   1.759    143
        699.83   1.752    147
        697.27   1.745    142
        695.92   1.742    146
        695.07   1.740    126
        694.46   1.738    117
        691.53   1.731     87
        690.19   1.727     82
        688.23   1.723     90
        538.70   1.348    528
        531.62   1.331   1000
        526.25   1.317     42
        524.41   1.313    522
    

in CDCl3



KBr disc



nujol mull