-
MS-NW-4678 thionicotinamide C6H6N2S (Mass of molecular ion: 138)
Source Temperature: 170 °C Sample Temperature: 120 °C Direct, 75 eV
17.0 3.0 18.0 13.0 26.0 6.4 27.0 2.5 28.0 8.4 32.0 4.3 33.0 4.2 34.0 10.0 37.0 3.1 38.0 3.9 39.0 7.2 40.0 1.1 41.0 1.1 45.0 3.7 49.0 3.2 50.0 18.3 51.0 25.0 52.0 18.4 53.0 5.4 57.0 1.2 58.0 1.1 59.0 1.3 60.0 20.3 61.0 1.1 62.0 1.4 64.0 2.1 66.0 1.2 67.0 10.4 69.0 7.8 70.0 1.4 75.0 5.0 76.0 11.0 77.0 26.0 78.0 29.0 79.0 10.9 83.0 1.8 84.0 1.8 93.0 1.9 94.0 1.3 95.0 2.4 103.0 3.5 104.0 46.7 105.0 76.6 106.0 5.9 110.0 3.1 111.0 3.4 121.0 2.5 122.0 13.6 123.0 1.2 137.0 5.2 138.0 100.0 139.0 8.3 140.0 5.0
parameter in DMSO-d6
-
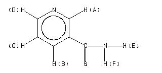
1H NMR 300 MHz C6 H6 N2 S 30 % in DMSO thionicotinamide 
Parameter ppm Hz
D(A) 9.27 D(B) 8.42 D(C) 7.62 D(D) 8.85 J(A,B) 2.4 J(A,C) 0.6 J(A,D) 0.3 J(B,C) 7.9 J(B,D) 2.3 J(C,D) 4.8 D(E) *1 7.4 D(F) *1 7.8 J(E,F) 0.0 BRUEGEL,W. Z.ELEKTROCHEM.(BER.BUNSENGES.PHYS.CHEM.) 66, 159 (1962) J(A,D) LESS THAN 0.3HZ.
Hz ppm Int.2782.20 9.274 385 2779.85 9.266 392 2658.57 8.862 239 2656.28 8.854 253 2653.79 8.846 251 2651.49 8.838 253 2532.34 8.441 138 2530.01 8.433 253 2527.66 8.426 135 2524.45 8.415 151 2522.10 8.407 269 2519.77 8.399 140 2340.01 7.800 1000 2292.17 7.641 198 2287.34 7.624 196 2284.51 7.615 192 2279.68 7.599 181 2219.99 7.400 1000
更多供应商





