图谱信息 供应商 相关产品
网站主页CAS数据库列表 4628-39-1更多图谱尿嘧啶-4-乙酸(4628-39-1)核磁图(1HNMR)

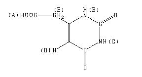
尿嘧啶-4-乙酸

产品名称 尿嘧啶-4-乙酸

CAS号4628-39-1

分子式C6H6N2O4

分子量170.12

展开

400 MHz in CDCl3


  • 1H NMR 399.65 MHz
    C6 H6 N2 O4 0.038 g : 0.5 ml DMSO-d6
    2,6-dihydroxy-4-pyrimidineacetic acid
    ChemicalStructure
        Assign.     Shift(ppm)
    A 12. B *1 11.015 C *1 10.884 D 5.464 E 3.405

         Hz     ppm     Int.
    

       4402.53  11.016    218
       4349.96  10.885    237
       2184.06   5.465    401
       1361.17   3.406   1000
    

KBr disc



nujol mull