400 MHz in D2O
-
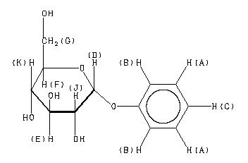
1H NMR 399.65 MHz C12 H16 O6 0.029 g : 0.5 ml D2O phenyl alpha-D-glucopyranoside 
Assign. Shift(ppm)
A 7.414 B 7.204 C 7.158 D 5.661 E 3.958 F 3.80 J 3.74 K 3.541
Hz ppm Int.2974.00 7.442 70 2971.80 7.437 327 2969.85 7.432 145 2964.48 7.418 506 2963.26 7.415 565 2957.76 7.401 177 2955.81 7.396 458 2953.37 7.390 75 2883.67 7.216 481 2882.69 7.214 670 2874.88 7.194 509 2873.90 7.192 485 2867.31 7.175 217 2864.26 7.167 42 2863.40 7.165 44 2859.99 7.157 358 2853.64 7.141 102 2852.66 7.138 159 2264.40 5.666 447 2260.62 5.657 445 1592.16 3.984 212 1582.64 3.961 401 1573.24 3.937 296 1525.63 3.818 78 1522.83 3.811 112 1521.36 3.807 153 1518.55 3.800 149 1515.01 3.791 127 1514.77 3.791 127 1513.92 3.789 141 1513.67 3.788 141 1511.11 3.782 208 1508.91 3.776 304 1505.13 3.767 1000 1502.93 3.761 710 1500.24 3.754 370 1499.15 3.752 423 1492.92 3.736 276 1489.26 3.727 253 1423.71 3.563 284 1414.31 3.539 393 1404.79 3.516 193
更多供应商


