图谱信息 供应商 相关产品
网站主页CAS数据库列表 4638-48-6更多图谱5-氯水杨酰苯胺(4638-48-6)红外图谱(IR1)

5-氯水杨酰苯胺

产品名称 5-氯水杨酰苯胺

CAS号4638-48-6

分子式C13H10ClNO2

分子量247.68

展开



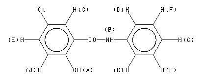
  •     Assign.     Shift(ppm)
    A *1 11.94 B *1 10.44 C 8.004 D 7.733 E 7.478 F 7.393 G 7.167 J 7.039 J(C,E)=2.8HZ J(E,J)=8.8HZ
    Spectral Code: 1H NMR : 400 MHz in DMSO-d6



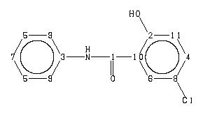
  •        ppm   Int.  Assign.
    165.07 284 1 157.05 331 2 137.91 296 3 133.01 415 4 128.65 1000 5 128.30 474 6 124.29 392 7 122.75 347 8 120.92 882 9 119.21 304 10 119.08 486 11
    Spectral Code: 13C NMR : in DMSO-d6


  • Spectral Code: IR : KBr disc