图谱信息 供应商 相关产品
网站主页CAS数据库列表 4641-57-0更多图谱1-苯基-2-吡咯烷酮(4641-57-0)红外图谱(IR1)

1-苯基-2-吡咯烷酮

产品名称 1-苯基-2-吡咯烷酮

CAS号4641-57-0

分子式C10H11NO

分子量161.2

展开



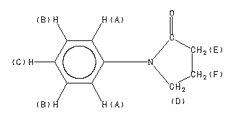
  •     Assign.     Shift(ppm)
    A 7.590 B 7.335 C 7.128 D 3.816 E 2.554 F 2.14
    Spectral Code: 1H NMR : 90 MHz in CDCl3



  •        ppm   Int.  Assign.
    174.05 237 1 139.51 233 2 128.69 940 3 124.26 516 4 119.76 1000 5 48.59 395 6 32.69 372 7 17.86 460 8
    Spectral Code: 13C NMR : in CDCl3


  • Spectral Code: IR : KBr disc


  • Spectral Code: Raman : 4880 A,200 M,powder