图谱信息 供应商 相关产品
网站主页CAS数据库列表 4643-36-1更多图谱N-甲基-1-萘胺盐酸盐(4643-36-1)红外图谱(IR1)

N-甲基-1-萘胺盐酸盐

产品名称 N-甲基-1-萘胺盐酸盐

CAS号4643-36-1

分子式C11H12ClN

分子量193.67

展开


  • Mass

    MS-IW-7455          
    N-methyl-1-naphthylamine hydrochloride
    C11H11N HCl         (Mass of molecular ion:    157)
    

       Source Temperature: 120 °C
       Sample Temperature: 100 °C
       Direct, 75 eV
    

          36.0       8.5
          38.0       2.9
          51.0       1.7
          63.0       2.8
          64.0       1.5
          65.0       2.5
          74.0       1.2
          75.0       1.6
          76.0       1.0
          76.5       2.1
          77.0       6.2
          77.5       7.4
          78.0       4.1
          78.5       5.2
          89.0       1.7
         101.0       1.5
         113.0       1.1
         114.0       1.4
         115.0      19.4
         116.0       3.0
         126.0       3.0
         127.0       7.9
         128.0      16.6
         129.0      17.4
         130.0       3.0
         140.0       1.7
         141.0       1.0
         142.0       5.6
         154.0       6.1
         155.0       3.2
         156.0      38.4
         157.0     100.0
         158.0      12.3
    

400 MHz in CDCl3


  • 1H NMR 399.65 MHz
    C11 H11 N 0.040 g : 0.5 ml CDCl3
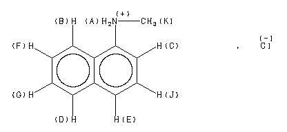
    N-methyl-1-naphthylamine hydrochloride
    ChemicalStructure
        Assign.     Shift(ppm)
    A 12.0 B 8.456 C 7.992 D 7.908 E 7.896 F 7.694 G 7.578 J 7.467 K 3.244

         Hz     ppm     Int.
    

       4789.07  11.984     30
       3384.37   8.469     88
       3383.63   8.467     93
       3375.94   8.448     95
       3375.03   8.445     99
       3198.45   8.004    103
       3197.54   8.001    121
       3191.13   7.985    119
       3190.03   7.983    127
       3165.30   7.921     91
       3160.35   7.908    105
       3157.06   7.900    110
       3156.69   7.899    104
       3151.93   7.887    114
       3083.79   7.717     50
       3082.51   7.714     54
       3076.83   7.699     72
       3075.37   7.696     99
       3074.08   7.692     57
       3068.22   7.678     66
       3067.12   7.675     65
       3035.98   7.597     70
       3035.07   7.595     76
       3029.02   7.580     61
       3027.93   7.577    105
       3026.83   7.574     76
       3020.78   7.559     51
       3019.87   7.557     52
       2992.02   7.487    116
       2984.51   7.468    123
       2983.78   7.466    128
       2976.27   7.448    102
       1296.82   3.245   1000
    

in CDCl3



KBr disc



nujol mull