图谱信息 供应商 相关产品
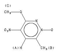
网站主页CAS数据库列表 4683-87-8更多图谱3-methoxy-6-methyl-4-nitropyridazine 1-oxide(4683-87-8)核磁图(1HNMR)

3-methoxy-6-methyl-4-nitropyridazine 1-oxide

产品名称 3-methoxy-6-methyl-4-nitropyridazine 1-oxide

CAS号4683-87-8

分子式C6H7N3O4

分子量185.13748

展开



  •     Parameter     ppm  Hz
    D(A) 8.35 D(B) 2.51 J(A,B) 0.0 D(C) 4.18 TORI,K. ET AL. CHEM.PHARM.BULL. 11, 235 (1963)
    Spectral Code: 1H NMR : parameter in CDCl3