图谱信息 供应商 相关产品
网站主页CAS数据库列表 472-66-2更多图谱2,6,6-三甲基-1-环己烯基乙醛(472-66-2)核磁图(13CNMR)

2,6,6-三甲基-1-环己烯基乙醛

产品名称 2,6,6-三甲基-1-环己烯基乙醛

CAS号472-66-2

分子式C11H18O

分子量166.26


  • Mass

    MS-IW-3646          
    (2,6,6-trimethyl-1-cyclohexenyl)acetaldehyde
    C11H18O             (Mass of molecular ion:    166)
    

       Source Temperature: 210 °C
       Sample Temperature: 160 °C
       Reservoir, 75 eV
    

          27.0      11.2
          28.0       1.4
          29.0      11.5
          39.0      19.2
          40.0       3.2
          41.0      44.4
          42.0       2.4
          43.0      19.9
          50.0       1.6
          51.0       6.3
          52.0       2.9
          53.0      16.4
          54.0       1.9
          55.0      29.8
          56.0       2.6
          57.0      10.9
          58.0       1.0
          63.0       2.2
          65.0       8.8
          66.0       2.7
          67.0      31.2
          68.0       4.3
          69.0      25.6
          70.0       2.4
          71.0       2.4
          77.0      16.9
          78.0       3.5
          79.0      23.6
          80.0       3.6
          81.0      78.4
          82.0      10.8
          83.0       4.5
          84.0       1.4
          85.0       1.4
          91.0      26.6
          92.0       4.3
          93.0      18.7
          94.0       3.6
          95.0      61.6
          96.0       9.2
          97.0       2.9
          98.0       1.0
         103.0       1.7
         105.0      16.1
         106.0       2.8
         107.0      94.0
         108.0      12.3
         109.0      23.8
         110.0       6.2
         111.0       2.4
         115.0       1.0
         117.0       1.3
         119.0       2.5
         120.0       1.0
         121.0      11.6
         122.0      16.4
         123.0      58.1
         124.0       7.3
         125.0       1.2
         131.0       1.3
         133.0      35.0
         134.0       4.2
         135.0       2.1
         136.0       2.8
         137.0      40.2
         138.0       5.7
         139.0       1.9
         148.0       1.0
         151.0     100.0
         152.0      16.4
         153.0       2.1
         166.0      33.5
         167.0       4.9
         177.0       2.6
    

400 MHz in CDCl3


  • 1H NMR 399.65 MHz
    C11 H18 O 0.05 ml : 0.5 ml CDCl3
    (2,6,6-trimethyl-1-cyclohexenyl)acetaldehyde
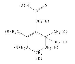
    ChemicalStructure
        Assign.     Shift(ppm)
    A 9.526 B 3.096 C 2.010 D 1.621 E 1.574 F 1.495 G 0.970

         Hz     ppm     Int.
    

       3807.22   9.527    126
       3804.93   9.521    240
       3802.49   9.515    136
       1238.71   3.100    150
       1238.10   3.098    155
       1237.49   3.097    157
       1237.03   3.096    157
        809.48   2.026     59
        803.83   2.012    109
        803.07   2.010    114
        797.73   1.997     66
        796.81   1.994     68
        661.01   1.654     44
        657.81   1.646     38
        654.91   1.639     87
        651.70   1.631     73
        648.96   1.624    108
        645.45   1.616     83
        642.85   1.609    116
        639.19   1.600     40
        636.60   1.593     68
        629.12   1.575    411
        628.51   1.573    368
        602.57   1.508    157
        600.13   1.502     95
        596.31   1.493     89
        594.02   1.487     92
        590.82   1.479     96
        394.74   0.988     37
        387.88   0.971   1000
    

in CDCl3



liquid film



4880 A,200 M,liquid