图谱信息 供应商 相关产品
网站主页CAS数据库列表 4733-39-5更多图谱2,9-二甲基-4,7二苯基-1,10-菲啰啉(4733-39-5)质谱(MS)

2,9-二甲基-4,7二苯基-1,10-菲啰啉

产品名称 2,9-二甲基-4,7二苯基-1,10-菲啰啉

CAS号4733-39-5

分子式C26H20N2

分子量360.45

展开


  • Mass

    MS-NW-2370          
    2,9-dimethyl-4,7-diphenyl-1,10-phenanthroline
    C26H20N2            (Mass of molecular ion:    360)
    

       Source Temperature: 250 °C
       Sample Temperature: 170 °C
       Direct, 75 eV
    

          17.0       1.3
          18.0       6.9
          28.0       1.3
          39.0       1.4
          51.0       2.3
          52.0       1.1
          63.0       1.1
          77.0       2.7
          78.0       5.0
         108.5       1.1
         109.0       1.1
         115.0       1.3
         125.0       1.0
         126.0       1.0
         128.0       1.0
         129.0       1.7
         131.5       1.0
         137.0       1.0
         138.0       1.6
         139.0       1.2
         140.0       1.0
         144.5       1.4
         145.5       1.0
         150.0       1.0
         151.0       2.5
         151.5       1.4
         152.0       2.2
         152.5       1.0
         153.0       1.0
         157.5       2.4
         158.0       2.3
         158.5       2.1
         159.0       2.3
         159.5       1.3
         164.0       1.6
         164.5       1.8
         165.0       2.4
         170.5       1.1
         171.0       2.4
         171.5       3.0
         172.0       5.1
         172.5       2.0
         177.0       1.0
         178.0       2.2
         178.5       1.9
         179.0       2.1
         180.0       8.6
         180.5       2.3
         189.0       1.3
         214.0       1.2
         216.0       1.1
         240.0       1.1
         241.0       1.0
         257.0       1.0
         258.0       1.5
         282.0       1.2
         283.0       1.8
         284.0       2.0
         315.0       1.0
         316.0       1.1
         317.0       1.3
         318.0       1.2
         319.0       1.2
         343.0       1.8
         344.0       1.2
         345.0       2.0
         356.0       1.3
         357.0       2.9
         358.0       5.4
         359.0      15.7
         360.0     100.0
         361.0      28.3
         362.0       4.1
    

400 MHz in CDCl3


  • 1H NMR 399.65 MHz
    C26 H20 N2 0.027 g : 0.5 ml CDCl3
    2,9-dimethyl-4,7-diphenyl-1,10-phenanthroline
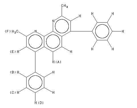
    ChemicalStructure
        Assign.     Shift(ppm)
    A 7.751 B 7.51 C 7.51 D 7.48 E 7.450 F 2.996 B,C AND D WERE CONFIRMED BY LAOCN PROGRAM.

         Hz     ppm     Int.
    

       3097.90   7.752    472
       3009.52   7.531     43
       3008.18   7.528     48
       3005.74   7.521    242
       3005.25   7.520    221
       3004.76   7.519    264
       3004.03   7.517    252
       3001.22   7.510    357
       3000.37   7.508    378
       2997.80   7.502     64
       2996.70   7.499     55
       2996.09   7.497     58
       2995.00   7.495     50
       2992.55   7.488    105
       2991.70   7.486     71
       2989.62   7.481     75
       2988.65   7.479     99
       2985.47   7.471     47
       2984.01   7.467     61
       2981.69   7.461     34
       2979.37   7.455     40
       2977.42   7.451    382
       1197.63   2.997   1000
    

in CDCl3



KBr disc



nujol mull