-
MS-NW-0357 brazilin C16H14O5 H2O (Mass of molecular ion: 286)
Source Temperature: 180 °C Sample Temperature: 190 °C Direct, 75 eV
18.0 3.3 27.0 1.5 28.0 1.9 29.0 1.1 39.0 4.7 41.0 1.1 43.0 3.0 50.0 1.6 51.0 4.7 52.0 1.1 53.0 1.5 55.0 4.1 62.0 1.3 63.0 4.5 64.0 1.7 65.0 3.0 69.0 3.8 69.5 1.2 70.0 1.0 74.0 1.2 75.0 2.7 75.5 1.2 76.0 6.0 76.5 1.3 77.0 5.5 78.0 1.4 79.0 1.2 81.0 1.2 81.5 1.2 82.0 2.6 82.5 2.2 83.0 1.0 84.0 2.3 87.0 1.1 88.0 2.4 89.0 2.5 90.0 1.4 90.5 2.4 91.0 2.9 92.0 1.3 93.0 1.2 95.0 1.0 96.0 1.3 97.0 2.4 98.5 2.4 99.0 1.5 101.0 1.7 102.0 2.9 103.0 2.1 105.0 2.7 107.0 3.1 110.0 2.9 110.5 3.5 111.0 10.3 111.5 1.5 113.0 1.5 114.0 1.2 115.0 4.1 119.0 2.0 120.0 1.4 121.0 1.4 121.5 1.0 122.0 1.1 123.0 9.4 124.0 1.7 125.0 3.8 126.0 1.4 127.0 2.3 128.0 2.2 129.0 1.1 130.0 1.9 131.0 3.4 134.0 11.3 134.5 1.9 135.0 3.8 136.0 1.9 137.0 3.5 139.0 3.2 141.0 2.0 147.0 8.0 148.0 7.9 149.0 2.6 150.0 2.5 151.0 3.3 152.0 4.2 153.0 2.2 155.0 1.6 157.0 1.1 159.0 1.7 160.0 1.8 161.0 1.2 162.0 2.6 163.0 7.2 164.0 3.1 165.0 3.3 168.0 1.6 169.0 1.7 171.0 1.0 173.0 2.0 175.0 5.4 176.0 9.8 177.0 4.6 181.0 3.2 183.0 1.2 184.0 1.3 185.0 1.1 187.0 1.3 197.0 4.5 198.0 1.6 199.0 1.5 200.0 1.3 201.0 1.1 202.0 1.0 209.0 1.0 210.0 1.5 211.0 2.9 212.0 1.0 213.0 2.1 214.0 1.0 215.0 1.8 221.0 2.7 222.0 1.6 223.0 1.6 226.0 2.5 227.0 4.0 228.0 1.1 229.0 26.9 230.0 4.1 237.0 1.2 238.0 1.1 239.0 5.7 240.0 2.4 241.0 4.0 242.0 2.1 243.0 6.7 244.0 1.4 250.0 2.8 251.0 7.5 252.0 1.6 253.0 1.6 255.0 1.5 256.0 1.8 257.0 4.3 258.0 5.8 259.0 1.0 266.0 1.5 267.0 44.7 268.0 50.7 269.0 18.3 270.0 3.4 271.0 1.7 285.0 9.8 286.0 100.0 287.0 17.5 288.0 2.7
400 MHz in DMSO-d6
-
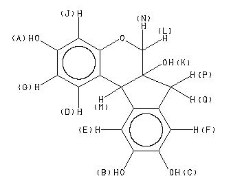
1H NMR 399.65 MHz C16 H14 O5 0.042 g : 0.5 ml DMSO-d6 brazilin 
Assign. Shift(ppm)
A *1 9.25 B *1 8.64 C *1 8.62 D 7.143 E *2 6.638 F *2 6.547 G 6.418 J 6.213 K 5.30 L *3 3.851 M 3.848 N *3 3.572 P *4 2.874 Q *4 2.703
Hz ppm Int.3698.00 9.254 788 3451.42 8.637 501 3448.00 8.628 246 3444.58 8.619 542 2859.25 7.155 514 2850.71 7.134 530 2653.32 6.640 882 2616.46 6.547 1000 2570.56 6.433 417 2568.12 6.426 427 2562.26 6.412 406 2559.81 6.406 435 2484.13 6.216 845 2481.81 6.210 794 2118.29 5.301 213 1544.31 3.865 360 1538.21 3.849 728 1534.18 3.839 445 1433.35 3.587 495 1422.00 3.559 454 1158.08 2.898 267 1142.46 2.859 381 1087.04 2.720 430 1071.17 2.681 298
更多供应商




