图谱信息 供应商 相关产品
网站主页CAS数据库列表 4762-26-9更多图谱n-溴代已基三苯基膦(4762-26-9)核磁图(1HNMR)

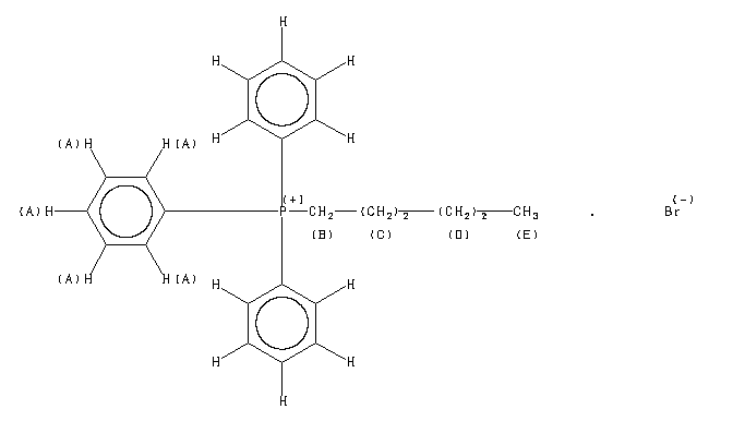
n-溴代已基三苯基膦

产品名称 n-溴代已基三苯基膦

CAS号4762-26-9

分子式C24H28BrP

分子量427.36

展开



  •     Assign.     Shift(ppm)
    A 8.00 to 7.54 B 3.75 C 1.63 D 1.23 E 0.81
    Spectral Code: 1H NMR : 90 MHz in CDCl3



  •        ppm   Int.  Assign.
    135.20 478 P 1 135.08 498 P 1 133.84 841 P 2 133.44 841 P 2 130.85 995 P 3 130.36 1000 P 3 119.99 269 P 4 116.57 259 P 4 31.22 179 5 30.40 119 P 6 29.78 109 P 6 23.87 100 P 7 22.67 109 P 8 22.47 119 P 8 22.21 259 9 21.91 114 P 7 13.93 229 10
    Spectral Code: 13C NMR : in CDCl3


  • Spectral Code: IR : nujol mull