图谱信息 供应商 相关产品
网站主页CAS数据库列表 4771-47-5更多图谱3-氯-2-硝基苯甲酸(4771-47-5)质谱(MS)

3-氯-2-硝基苯甲酸

产品名称 3-氯-2-硝基苯甲酸

CAS号4771-47-5

分子式C7H4ClNO4

分子量201.56

展开


  • Mass

    MS-NW-7652          
    3-chloro-2-nitrobenzoic acid
    C7H4ClNO4           (Mass of molecular ion:    201)
    

       Source Temperature: 180 °C
       Sample Temperature: 150 °C
       Direct, 75 eV
    

          18.0       1.8
          27.0       1.5
          28.0       4.8
          29.0       1.1
          30.0      61.5
          36.0       2.2
          37.0       6.7
          38.0       6.3
          39.0      11.1
          44.0       4.9
          45.0       9.7
          46.0       2.6
          47.0       1.0
          49.0       5.8
          50.0      17.8
          51.0      16.8
          52.0       2.0
          53.0       5.7
          55.0       1.4
          60.0       1.1
          61.0       5.2
          62.0       6.6
          63.0      38.7
          64.0       8.8
          65.0       1.7
          66.0       2.1
          72.0       2.2
          73.0      30.8
          74.0      33.0
          75.0      61.9
          76.0      13.3
          77.0       2.8
          79.0       3.3
          84.0      11.5
          85.0       6.0
          86.0       4.6
          87.0       5.4
          88.0       1.4
          89.0       1.6
          90.0       2.0
          91.0      39.2
          92.0      11.1
          93.0       1.1
          97.0       1.2
          98.0       2.6
          99.0     100.0
         100.0       6.9
         101.0      31.7
         102.0       2.6
         107.0      10.3
         108.0       3.4
         109.0       2.3
         110.0      14.4
         111.0      14.2
         112.0       7.9
         113.0       5.0
         115.0      27.1
         116.0       2.1
         117.0       8.1
         119.0       9.1
         125.0       1.4
         126.0       5.5
         127.0      23.0
         128.0       3.2
         129.0       7.9
         138.0       1.1
         139.0       1.2
         140.0       2.9
         143.0      25.0
         144.0       1.7
         145.0       7.9
         153.0       3.5
         154.0       1.3
         155.0       7.7
         156.0       1.8
         157.0       9.1
         158.0       1.1
         159.0       2.1
         171.0      39.4
         172.0       3.2
         173.0      14.2
         174.0       1.1
         184.0       2.2
         185.0       2.6
         187.0       1.0
         201.0      93.4
         202.0       7.6
         203.0      31.5
         204.0       2.6
    

90 MHz in DMSO-d6


  • 1H NMR 89.56 MHz
    C7 H4 Cl N O4 0.037 g : 0.5 ml DMSO-d6
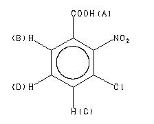
    3-chloro-2-nitrobenzoic acid
    ChemicalStructure
        Assign.     Shift(ppm)
    A 12. B 8.05 C 8.03 D 7.778

         Hz     ppm     Int.
    

        726.92   8.117    316
        725.21   8.098    397
        724.69   8.092    325
        722.99   8.073    398
        719.65   8.036    263
        718.03   8.018    869
        716.24   7.998   1000
        714.61   7.980    261
        711.28   7.942     49
        709.91   7.927     36
        709.40   7.921     38
        708.89   7.916     38
        708.29   7.909     34
        707.69   7.902     40
        706.92   7.894     33
        706.32   7.887     35
        705.38   7.877     40
        702.39   7.843    696
        699.57   7.812     44
        699.06   7.806     43
        697.44   7.788    115
        695.13   7.762    371
        693.93   7.749    306
        691.63   7.723     74
        690.17   7.707     33
        686.67   7.668    229
    

KBr disc



nujol mull