-
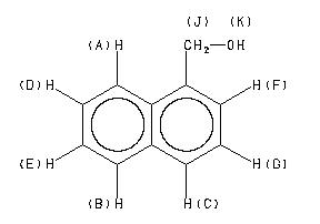
MS2014-05084CW 1-naphthalenemethanol C11H10O (Mass of molecular ion: 158)
Source Temperature: 235 °C Sample Temperature: 25 °C Direct, 70 eV
39.0 2.2 50.0 2.9 51.0 5.7 57.5 1.1 62.0 2.2 63.0 5.7 63.5 1.1 64.0 2.7 69.5 1.4 74.0 3.8 75.0 4.5 76.0 2.4 77.0 6.0 78.0 1.9 78.5 1.7 79.0 1.8 86.0 1.3 87.0 2.1 89.0 2.0 98.0 1.3 101.0 3.2 102.0 4.0 103.0 1.2 113.0 1.1 115.0 11.8 116.0 1.4 126.0 6.2 127.0 23.4 128.0 35.4 129.0 100.0 130.0 13.5 131.0 1.0 139.0 7.5 140.0 5.9 141.0 16.4 142.0 2.5 155.0 1.5 157.0 13.8 158.0 57.7 159.0 6.8
400 MHz in CDCl3
-
1H NMR 399.65 MHz C11 H10 O 0.041 g : 0.5 ml CDCl3 1-naphthalenemethanol 
Assign. Shift(ppm)
A 8.017 B 7.828 C 7.752 D 7.49 E 7.46 F 7.413 G 7.377 J 5.002 K 2.31
Hz ppm Int.3209.72 8.032 119 3208.98 8.030 192 3208.25 8.028 137 3207.15 8.025 128 3206.42 8.024 176 3203.49 8.016 93 3202.51 8.014 98 3201.17 8.010 122 3200.20 8.008 197 3199.34 8.006 207 3133.54 7.841 200 3132.08 7.838 147 3129.39 7.831 111 3126.83 7.824 176 3126.46 7.823 176 3123.90 7.817 221 3103.27 7.765 205 3095.34 7.746 220 2999.76 7.506 72 2997.80 7.502 121 2992.92 7.489 333 2990.97 7.484 295 2989.87 7.482 391 2986.57 7.473 715 2983.03 7.465 375 2982.30 7.463 294 2980.35 7.458 292 2975.34 7.445 108 2973.51 7.441 68 2968.14 7.427 129 2967.29 7.425 142 2966.55 7.423 154 2961.18 7.410 330 2960.45 7.408 304 2959.59 7.406 289 2954.22 7.393 455 2946.29 7.373 377 2939.33 7.355 180 1999.27 5.003 1000 924.80 2.315 149
更多供应商






