图谱信息 供应商 相关产品
网站主页CAS数据库列表 479-18-5更多图谱二羟丙茶碱(479-18-5)Raman光谱

二羟丙茶碱

产品名称 二羟丙茶碱

CAS号479-18-5

分子式C10H14N4O4

分子量254.24

展开


  • Mass

    MS2014-05032CW      
    7-(2,3-dihydroxypropyl)-1,3-dimethyl-3,7-dihydro-1H-purine-2,6-dione
    C10H14N4O4          (Mass of molecular ion:    254)
    

       Source Temperature: 250 °C
       Sample Temperature:  20 °C
       Direct, 70 eV
    

          15.0       2.3
          27.0       1.0
          28.0       2.2
          29.0       1.2
          31.0       3.5
          40.0       2.6
          41.0       4.4
          42.0       7.0
          43.0       3.4
          52.0       1.3
          53.0       3.4
          54.0       3.4
          55.0       4.1
          56.0       2.2
          57.0       2.6
          58.0       1.4
          61.0       1.5
          66.0       2.8
          67.0       7.7
          68.0      10.2
          69.0       2.8
          70.0       2.8
          79.0       1.3
          80.0       2.2
          81.0      12.2
          82.0       6.6
          83.0       2.1
          93.0       1.1
          94.0       5.0
          95.0      24.8
          96.0       5.2
          97.0       1.4
         108.0       4.8
         109.0      33.7
         110.0       4.1
         111.0       4.8
         121.0       1.0
         122.0       4.5
         123.0      17.3
         124.0       7.3
         125.0       1.3
         135.0       1.8
         136.0       5.9
         137.0      13.1
         138.0       8.2
         149.0       1.2
         150.0       1.5
         151.0       6.3
         152.0       2.9
         165.0       4.1
         166.0      32.8
         167.0       3.1
         179.0       1.3
         180.0      90.6
         181.0      12.7
         182.0       1.2
         193.0      46.5
         194.0      87.3
         195.0      10.2
         196.0       1.7
         207.0       2.4
         220.0       1.1
         223.0     100.0
         224.0      18.9
         225.0       2.3
         236.0      15.9
         237.0       2.5
         254.0      55.6
         255.0       7.6
    

400 MHz in DMSO-d6


  • 1H NMR 399.65 MHz
    C10 H14 N4 O4 0.042 g : 0.5 ml DMSO-d6
    7-(2,3-dihydroxypropyl)-1,3-dimethyl-3,7-dihydro-1H-purine-2,6-dione
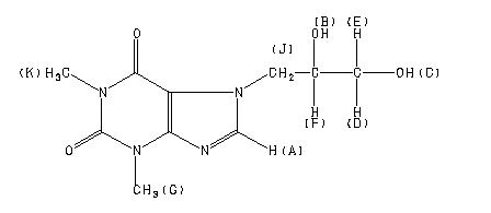
    ChemicalStructure
        Assign.     Shift(ppm)
    A 7.955 B 5.01 C 4.78 D *1 4.413 E *1 4.073 F 3.817 G 3.415 J 3.38 K 3.216

         Hz     ppm     Int.
    

       3179.44   7.956    335
       2005.86   5.020    161
       2000.12   5.005    164
       1915.53   4.794     74
       1909.79   4.779    181
       1904.17   4.765     78
       1772.83   4.436     51
       1769.41   4.428     55
       1759.28   4.403     63
       1755.74   4.394     62
       1638.92   4.101     59
       1630.37   4.080     70
       1625.37   4.067     51
       1616.70   4.046     60
       1531.13   3.832     37
       1529.17   3.827     34
       1525.76   3.818     49
       1522.46   3.810     31
       1520.51   3.805     38
       1364.87   3.416   1000
       1358.76   3.400     94
       1356.93   3.396     90
       1353.27   3.387    134
       1351.32   3.382    136
       1349.49   3.377    135
       1348.02   3.374     86
       1345.83   3.368     81
       1285.52   3.217    996
    

in DMSO-d6

in D2O





KBr disc



nujol mull