图谱信息 供应商 相关产品
网站主页CAS数据库列表 479-33-4更多图谱四苯基环戊二烯酮(479-33-4)Raman光谱

四苯基环戊二烯酮

产品名称 四苯基环戊二烯酮

CAS号479-33-4

分子式C29H20O

分子量384.47

展开


  • Mass

    MS-NW-7038          
    tetraphenylcyclopentadienone
    C29H20O             (Mass of molecular ion:    384)
    

       Source Temperature: 220 °C
       Sample Temperature: 180 °C
       Direct, 75 eV
    

          39.0       1.5
          51.0       2.9
          63.0       1.3
          76.0       1.1
          77.0       2.9
          78.0       1.3
          89.0       1.2
         102.0       1.1
         105.0       1.2
         115.0       1.0
         126.0       3.3
         137.0       1.0
         138.0       3.1
         138.5       1.3
         139.0       4.0
         150.0       3.1
         151.0       4.7
         152.0       7.1
         153.0       2.6
         156.5       1.6
         162.0       1.7
         163.0       3.2
         165.0       1.9
         168.5       1.9
         169.0       1.5
         169.5       2.8
         170.0       2.0
         174.0       1.2
         175.0       2.9
         175.5       1.6
         176.0      10.0
         177.0       6.8
         178.0      94.5
         179.0      14.8
         180.0       1.2
         192.0       1.5
         200.0       1.1
         202.0       1.6
         250.0       1.2
         252.0       1.8
         263.0       1.4
         265.0       2.1
         267.0       2.7
         274.0       1.7
         276.0       7.1
         277.0       5.5
         278.0       8.8
         279.0       7.2
         280.0       1.7
         289.0       1.0
         305.0       1.5
         306.0       1.8
         307.0       4.5
         308.0       1.1
         326.0       1.5
         339.0       1.9
         340.0       1.0
         350.0       1.6
         351.0       1.1
         352.0       2.0
         353.0       1.7
         354.0       1.4
         355.0       3.2
         356.0      37.5
         357.0      11.5
         358.0       2.0
         383.0       2.4
         384.0     100.0
         385.0      31.9
         386.0       6.7
         387.0       1.1
    

400 MHz in CDCl3


  • 1H NMR 399.65 MHz
    C29 H20 O 0.039 g : 0.5 ml CDCl3
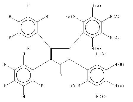
    tetraphenylcyclopentadienone
    ChemicalStructure
        Assign.     Shift(ppm)
    A 7.23 B 7.156 C 6.923

         Hz     ppm     Int.
    

       2899.54   7.256     41
       2898.32   7.253     75
       2896.97   7.249     56
       2896.12   7.247     54
       2894.17   7.242    200
       2891.11   7.235    435
       2887.94   7.227   1000
       2885.74   7.221    292
       2884.77   7.219    235
       2883.42   7.215    321
       2882.08   7.212    220
       2880.62   7.208    101
       2879.88   7.207     86
       2878.91   7.204     89
       2877.69   7.201     53
       2877.08   7.200     59
       2875.73   7.196     38
       2867.80   7.176    216
       2866.33   7.173    109
       2861.57   7.161    188
       2860.11   7.157    361
       2854.61   7.143     70
       2852.91   7.139    181
       2851.81   7.136    110
       2773.19   6.940     45
       2771.24   6.935    270
       2770.14   6.932    323
       2765.01   6.919     88
       2763.06   6.914    326
       2761.60   6.911    242
    

in CDCl3



KBr disc



nujol mull