
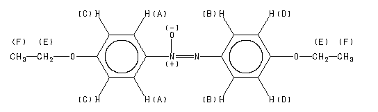
4,4'-氧化偶氮苯乙醚
产品名称
4,4'-氧化偶氮苯乙醚
CAS号4792-83-0
分子式C16H18N2O3
分子量286.33
InChIInChI=1S/C16H18N2O3/c1-3-20-15-9-5-13(6-10-15)17-18(19)14-7-11-16(12-8-14)21-4-2/h5-12H,3-4H2,1-2H3
InChIKeyQUICZVHSJNKDBL-UHFFFAOYSA-N
Smiles[N+]([O-])(C1=CC=C(OCC)C=C1)=NC1=CC=C(OCC)C=C1
展开
收起
-
Assign. Shift(ppm)
A *1 8.259
B *1 8.214
C *2 6.939
D *2 6.911
E 4.07
F 1.423
Spectral Code: 1H NMR : 90 MHz in CDCl3
-
ppm Int. Assign.
161.24 388 1
159.61 393 2
141.52 134 3
137.90 303 4
127.79 846 5
123.69 846 6
114.17 1000 7 *
114.00 900 8 *
63.91 458 9 #
63.66 413 10 #
14.72 532 11 *1
14.66 502 12 *1
Spectral Code: 13C NMR : in CDCl3
-
Spectral Code: IR : CCl4 solution
-
Spectral Code: Raman : 4880 A,200 M,powder
4,4'-氧化偶氮苯乙醚(4792-83-0)核磁图(13CNMR) 相关产品图谱