图谱信息 供应商 相关产品
网站主页CAS数据库列表 481-06-1更多图谱驱蛔素(481-06-1)核磁图(13CNMR)

驱蛔素

产品名称 驱蛔素

CAS号481-06-1

分子式C15H18O3

分子量246.3

展开


  • Mass

    MS2006-03094WA      
    santonin
    C15H18O3            (Mass of molecular ion:    246)
    

       Source Temperature: 250 °C
       Sample Temperature:  50 °C
       Direct, 70 eV
    

          18.0       1.2
          27.0       8.9
          28.0       1.9
          29.0       7.7
          39.0      16.9
          40.0       3.3
          41.0      36.0
          42.0       2.0
          43.0       5.9
          50.0       1.8
          51.0       8.2
          52.0       3.8
          53.0      11.7
          54.0       2.1
          55.0      14.3
          56.0       1.1
          57.0       2.0
          63.0       4.5
          64.0       2.7
          65.0      14.7
          66.0       3.2
          67.0       8.8
          68.0       3.3
          69.0      12.8
          70.0       1.1
          71.0       1.7
          75.0       1.2
          76.0       1.3
          77.0      22.2
          78.0       6.0
          79.0      12.5
          80.0       2.4
          81.0       3.4
          82.0       1.2
          83.0       2.6
          89.0       2.4
          90.0       1.0
          91.0      42.5
          92.0       6.2
          93.0       7.8
          94.0       4.5
          95.0       4.3
          96.0       5.6
          97.0       1.7
         102.0       1.6
         103.0       5.4
         104.0       2.0
         105.0      15.6
         106.0       5.6
         107.0      19.0
         108.0       8.2
         109.0       3.5
         110.0       1.2
         111.0       1.1
         115.0      12.0
         116.0       4.5
         117.0       8.5
         118.0       2.7
         119.0      14.6
         120.0       7.8
         121.0      21.9
         122.0      20.4
         123.0       5.2
         124.0       5.7
         127.0       3.6
         128.0       9.2
         129.0      12.8
         130.0       4.8
         131.0       9.0
         132.0       3.1
         133.0      11.8
         134.0      21.6
         135.0      47.8
         136.0       8.8
         137.0       1.3
         138.0       1.2
         141.0       3.2
         142.0       2.4
         143.0       4.7
         144.0       5.0
         145.0      19.9
         146.0      19.6
         147.0      22.2
         148.0      11.5
         149.0      14.2
         150.0       5.9
         151.0       1.9
         152.0       9.5
         153.0       1.7
         155.0       2.1
         157.0      12.4
         158.0       6.9
         159.0      11.8
         160.0       7.8
         161.0      20.2
         162.0      13.4
         163.0      20.5
         164.0       3.1
         170.0       1.3
         171.0       5.6
         172.0      38.4
         173.0     100.0
         174.0      18.6
         175.0      33.6
         176.0       5.5
         177.0       1.5
         178.0       4.5
         185.0      10.3
         186.0       1.9
         187.0      15.4
         188.0       3.7
         189.0      12.8
         190.0      25.1
         191.0      22.3
         192.0       3.2
         199.0       1.3
         200.0       6.7
         201.0       8.3
         202.0       5.2
         203.0      25.5
         204.0       4.1
         213.0       3.3
         217.0       3.2
         218.0      11.3
         219.0       1.7
         228.0       2.4
         229.0       1.1
         231.0      45.8
         232.0       7.2
         245.0       1.1
         246.0      89.5
         247.0      15.3
         248.0       1.8
    

400 MHz in CDCl3


  • 1H NMR 399.65 MHz
    C15 H18 O3 0.046 g : 0.5 ml CDCl3
    santonin
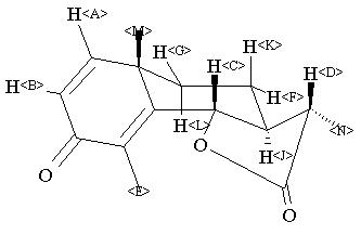
    ChemicalStructure
        Assign.     Shift(ppm)
    A 6.718 B 6.250 C 4.823 D 2.447 E 2.131 F 2.04 G 1.92 J 1.83 K 1.72 L 1.52 M 1.341 N 1.281 ASSIGNED BY C-H COSY

         Hz     ppm     Int.
    

       2689.94   6.731    649
       2680.05   6.706    710
       2502.69   6.263    566
       2492.80   6.238    513
       1935.42   4.843     87
       1934.08   4.840    226
       1932.62   4.836    233
       1931.27   4.833     99
       1924.19   4.815     89
       1922.85   4.812    217
       1921.51   4.808    220
       1920.17   4.805     97
        987.55   2.472     97
        982.42   2.459     37
        980.59   2.454    102
        975.46   2.441     93
        973.75   2.437     40
        968.63   2.424     93
        961.67   2.407     30
        852.17   2.133    881
        850.83   2.129    852
        825.56   2.066     41
        824.83   2.064     40
        823.61   2.061     46
        822.39   2.058     44
        821.29   2.056     44
        820.31   2.053     41
        817.87   2.047     36
        815.31   2.041     36
        812.99   2.035     51
        810.55   2.029     54
        809.94   2.027     48
        808.47   2.023     47
        807.50   2.021     42
        805.18   2.015     34
        783.94   1.962     52
        778.08   1.947     57
        775.88   1.942     59
        774.41   1.938     70
        772.09   1.932     56
        764.65   1.914     65
        762.33   1.908     68
        760.99   1.905     78
        758.67   1.899     61
        750.61   1.879     30
        738.53   1.848     71
        735.23   1.840     58
        727.17   1.820     69
        724.00   1.812     59
        715.21   1.790     39
        712.28   1.783     35
        706.67   1.769     37
        702.88   1.759     36
        693.97   1.737     91
        690.19   1.727     77
        681.76   1.706     60
        681.27   1.705     61
        677.98   1.697     54
        623.78   1.561     48
        619.26   1.550     47
        610.84   1.529     70
        606.32   1.518     61
        597.90   1.497     31
        597.41   1.495     31
        536.13   1.342   1000
        522.34   1.307     36
        515.38   1.290    798
        508.42   1.273    770
    

in CDCl3



KBr disc



nujol mull



4880 A,200 M,powder