-
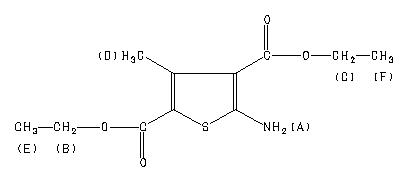
MS-IW-8162 diethyl 5-amino-3-methyl-2,4-thiophenedicarboxylate C11H15NO4S (Mass of molecular ion: 257)
Source Temperature: 150 °C Sample Temperature: 120 °C Direct, 75 eV
27.0 1.8 28.0 1.2 29.0 3.8 39.0 2.4 45.0 1.8 66.0 6.5 67.0 5.1 68.0 2.1 72.0 1.3 83.0 1.4 83.5 1.2 84.0 1.3 85.0 1.1 99.0 1.3 100.0 1.9 110.0 4.3 111.0 4.9 112.0 1.1 126.0 2.0 127.0 2.7 128.0 1.2 137.0 2.9 138.0 1.8 139.0 13.7 140.0 1.5 141.0 1.0 154.0 3.5 155.0 2.4 156.0 1.3 165.0 8.1 166.0 20.3 167.0 10.1 168.0 2.0 182.0 7.1 183.0 36.0 184.0 9.2 185.0 7.0 200.0 1.1 211.0 100.0 212.0 31.7 213.0 8.1 214.0 1.8 229.0 1.2 257.0 82.8 258.0 11.7 259.0 5.2
90 MHz in CDCl3
-
1H NMR 89.56 MHz C11 H15 N O4 S 0.040 g : 0.5 ml CDCl3 diethyl 5-amino-3-methyl-2,4-thiophenedicarboxylate 
Assign. Shift(ppm)
A 6.58 B *1 4.308 C *1 4.260 D 2.699 E *2 1.371 F *2 1.326
Hz ppm Int.589.25 6.580 42 397.00 4.433 56 392.56 4.384 59 389.81 4.353 197 385.38 4.304 196 382.69 4.274 212 378.31 4.225 206 375.63 4.195 74 371.25 4.146 66 241.81 2.700 1000 129.81 1.450 210 125.81 1.405 219 122.75 1.371 442 118.75 1.326 448 115.63 1.292 199 111.56 1.246 192
更多供应商




