图谱信息 供应商 相关产品
网站主页CAS数据库列表 483-04-5更多图谱萝巴新(483-04-5)红外图谱(IR1)

萝巴新

产品名称 萝巴新

CAS号483-04-5

分子式C21H24N2O3

分子量352.43

展开


  • Mass

    MS-IW-2130          
    ajmalicine
    C21H24N2O3          (Mass of molecular ion:    352)
    

       Source Temperature: 160 °C
       Sample Temperature: 170 °C
       Direct, 75 eV
    

          15.0       2.9
          27.0       2.7
          28.0       3.2
          29.0       4.4
          39.0       5.1
          40.0       1.1
          41.0       5.8
          42.0       9.3
          43.0       2.9
          51.0       2.1
          52.0       1.1
          53.0       3.6
          54.0       2.0
          55.0      13.4
          56.0       2.4
          59.0       2.3
          63.0       1.5
          65.0       2.7
          66.0       1.3
          67.0       2.3
          68.0       1.6
          75.0       1.0
          76.0       1.2
          77.0       8.2
          78.0       1.8
          79.0       2.9
          80.0       1.2
          81.0       1.3
          82.0       1.0
          89.0       2.0
          90.0       1.3
          91.0       2.5
          92.0       1.3
          93.0       1.2
          94.0       1.1
          95.0       4.1
          96.0       1.1
         101.0       1.5
         102.0       2.4
         103.0       2.3
         104.0       1.2
         107.0       1.6
         109.0       1.0
         110.0       1.2
         111.0       1.4
         114.0       1.4
         115.0       8.5
         116.0       3.4
         117.0       3.7
         118.0       1.8
         121.0       1.3
         123.0       2.7
         125.0       1.4
         127.0       5.1
         128.0       9.2
         129.0      11.0
         130.0       7.4
         131.0       2.1
         137.0       1.0
         139.0       1.9
         140.0       3.1
         141.0       2.5
         142.0       7.7
         143.0      14.5
         144.0      12.0
         145.0       1.9
         146.0       1.0
         152.0       1.5
         153.0       3.8
         154.0      11.5
         155.0       9.2
         156.0     100.0
         157.0      19.1
         158.0       2.3
         160.0       1.9
         160.5       1.1
         166.0       2.0
         167.0       7.7
         168.0      10.5
         169.0      28.0
         170.0      17.5
         171.0      14.6
         172.0       2.5
         176.0       9.0
         176.5       2.2
         178.0       1.2
         179.0       1.3
         180.0       3.9
         181.0       2.5
         182.0       6.0
         183.0      12.3
         184.0      76.0
         185.0      17.3
         186.0       2.9
         191.0       1.1
         192.0       1.3
         193.0       1.4
         194.0       1.7
         195.0       2.5
         196.0       3.6
         197.0       3.3
         198.0       2.2
         204.0       1.2
         205.0       1.5
         206.0       2.8
         207.0       3.1
         208.0       5.9
         209.0      19.5
         210.0       4.4
         211.0       1.1
         218.0       1.1
         219.0       1.4
         220.0       1.5
         221.0       3.8
         222.0       4.9
         223.0       5.6
         224.0       2.4
         225.0      11.5
         226.0       2.2
         234.0       1.1
         235.0       2.9
         236.0       1.7
         237.0       2.1
         238.0       2.6
         246.0       2.3
         247.0       1.5
         249.0       2.9
         250.0       1.1
         251.0       2.2
         263.0       2.4
         264.0       1.0
         265.0       5.2
         266.0       1.1
         291.0       1.1
         292.0       1.1
         293.0       1.8
         319.0       1.1
         321.0       2.9
         323.0       1.6
         337.0       3.2
         351.0      38.5
         352.0      53.2
         353.0      12.6
         354.0       2.4
    

400 MHz in CDCl3


  • 1H NMR 399.65 MHz
    C21 H24 N2 O3 0.035 g : 0.5 ml CDCl3
    ajmalicine
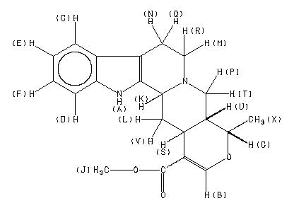
    ChemicalStructure
        Assign.     Shift(ppm)
    A 8.06 B 7.535 C 7.460 D 7.273 E 7.123 F 7.076 G 4.409 J 3.733 K 3.365 L 3.211 M 3.081 N 3.00 P 2.946 Q 2.733 R 2.664 S 2.413 T 2.212 U 2.132 V 1.305 X 1.163 ASSIGNED BY C-H AND H-H COSY

         Hz     ppm     Int.
    

       3221.80   8.062     65
       3012.57   7.539    156
       3010.74   7.534    158
       2985.47   7.471     67
       2977.91   7.452     75
       2910.77   7.284     72
       2904.05   7.267     68
       2903.08   7.265     99
       2855.59   7.146     34
       2854.37   7.143     38
       2848.51   7.128     72
       2847.29   7.125     72
       2840.70   7.108     60
       2839.23   7.105     53
       2834.84   7.094     70
       2833.50   7.090     73
       2827.03   7.074     77
       2826.05   7.072     75
       2819.95   7.057     37
       2818.85   7.054     32
       1767.94   4.424     40
       1764.04   4.414     43
       1761.35   4.408     42
       1757.45   4.398     43
       1492.07   3.734   1000
       1351.56   3.382     35
       1349.85   3.378     37
       1340.21   3.354     37
       1338.62   3.350     38
       1289.55   3.227     43
       1277.22   3.196     44
       1235.23   3.091     35
       1230.10   3.078     33
       1224.12   3.063     47
       1183.84   2.963     54
       1181.27   2.956     62
       1173.58   2.937     53
       1170.90   2.930     53
       1101.32   2.756     30
       1098.63   2.749     33
       1097.17   2.746     40
       1081.91   2.708     34
       1076.90   2.695     37
       1065.92   2.668     56
       1061.65   2.657     43
        965.58   2.417     34
        964.48   2.414     34
        962.52   2.409     30
        896.85   2.245     40
        885.74   2.217     84
        875.24   2.191     74
        850.46   2.129     36
        527.47   1.320     62
        515.26   1.290     60
        468.26   1.172    329
        461.67   1.156    331
    

in CDCl3



KBr disc



nujol mull