图谱信息 供应商 相关产品
网站主页CAS数据库列表 4837-90-5更多图谱4-甲氧基吲哚(4837-90-5)红外图谱(IR2)

4-甲氧基吲哚

产品名称 4-甲氧基吲哚

CAS号4837-90-5

分子式C9H9NO

分子量147.17

展开


  • Mass

    MS-IW-0086          
    4-methoxyindole
    C9H9NO              (Mass of molecular ion:    147)
    

       Source Temperature: 270 °C
       Sample Temperature: 150 °C
       Reservoir, 75 eV
    

          28.0       1.8
          38.0       1.3
          39.0       2.3
          50.0       4.6
          51.0       7.0
          52.0       1.8
          62.0       2.6
          63.0       4.2
          64.0       1.0
          65.0       1.1
          73.5       1.8
          74.0       1.8
          75.0       2.1
          76.0       6.4
          77.0      11.9
          78.0       5.2
          87.0       1.0
          88.0       1.2
          89.0       7.3
          90.0       2.2
         102.0       1.3
         103.0       4.2
         104.0      50.1
         105.0       4.2
         116.0      11.3
         117.0       3.2
         118.0       2.7
         132.0      86.5
         133.0       8.2
         146.0       3.9
         147.0     100.0
         148.0      10.3
    

400 MHz in CDCl3


  • 1H NMR 399.65 MHz
    C9 H9 N O 0.032 g : 0.5 ml CDCl3
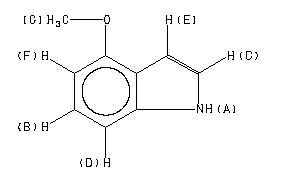
    4-methoxyindole
    ChemicalStructure
        Assign.     Shift(ppm)
    A 8.07 B 7.108 C 7.043 D 6.978 E 6.651 F 6.523 G 3.942 J(C,E)=3.2HZ J(A,E)=2.2HZ J(E,D)=1.0HZ

         Hz     ppm     Int.
    

       2849.49   7.130     74
       2841.43   7.110    160
       2833.62   7.091    107
       2817.63   7.051     90
       2814.94   7.044    109
       2814.45   7.043    111
       2812.01   7.037     95
       2793.33   6.990     93
       2792.48   6.988    140
       2791.75   6.986     91
       2785.16   6.969     72
       2784.30   6.967    106
       2783.57   6.966     67
       2661.25   6.659     70
       2660.28   6.657     74
       2659.06   6.654     82
       2658.08   6.652    127
       2656.98   6.649     77
       2655.76   6.646     75
       2654.91   6.644     68
       2611.08   6.534    126
       2603.39   6.515    120
       1575.68   3.943   1000
    

in CDCl3



KBr disc



nujol mull