图谱信息 供应商 相关产品
网站主页CAS数据库列表 484-17-3更多图谱9-羟基菲(484-17-3)红外图谱(IR1)

9-羟基菲

产品名称 9-羟基菲

CAS号484-17-3

分子式C14H10O

分子量194.23

展开



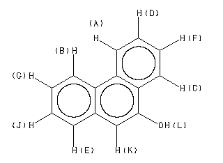
  •     Assign.     Shift(ppm)
    A *1 8.661 B *1 8.583 C 8.312 D *2 7.68 E 7.68 F *2 7.644 G *3 7.52 J *3 7.50 K 6.990 L 5.55
    Spectral Code: 1H NMR : 400 MHz in CDCl3



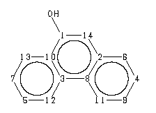
  •        ppm   Int.  Assign.
    149.55 423 1 132.71 338 2 131.59 254 3 127.21 648 4 126.94 718 5 * 126.76 1000 6 * 126.42 704 7 125.60 352 8 124.28 634 9 123.91 183 10 122.69 718 11 # 122.59 690 12 # 122.39 577 13 106.15 479 14
    Spectral Code: 13C NMR : in CDCl3


  • Spectral Code: IR : nujol mull