图谱信息 供应商 相关产品
网站主页CAS数据库列表 484-47-9更多图谱2,4,5-三苯基咪唑(484-47-9)红外图谱(IR2)

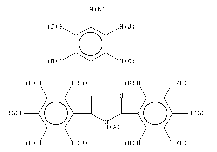
2,4,5-三苯基咪唑

产品名称 2,4,5-三苯基咪唑

CAS号484-47-9

分子式C21H16N2

分子量296.37

展开



  •     Assign.     Shift(ppm)
    A 12.7 B 8.124 C *1 7.587 D *1 7.528 E *2 7.49 F *2 7.45 G 7.381 J 7.311 K 7.232
    Spectral Code: 1H NMR : 400 MHz in DMSO-d6










  • Spectral Code: ESR : OXIDATION WITH EXCESS PBO2 IN TOLUENE, RT, ENDOR