图谱信息 供应商 相关产品
网站主页CAS数据库列表 485-49-4更多图谱(+)-荷包牡丹碱(485-49-4)红外图谱(IR2)

(+)-荷包牡丹碱

产品名称 (+)-荷包牡丹碱

CAS号485-49-4

分子式C20H17NO6

分子量367.35

展开


  • Mass

    MS-IW-9460          
    (+)-bicuculline
    C20H17NO6           (Mass of molecular ion:    367)
    

       Source Temperature: 200 °C
       Sample Temperature: 190 °C
       Direct, 75 eV
    

          18.0       1.1
          28.0       2.2
          29.0       1.0
          39.0       1.7
          42.0      11.9
          51.0       1.0
          62.0       1.1
          63.0       3.1
          65.0       3.6
          77.0       1.5
          89.0       1.6
          90.0       1.0
          91.0       2.2
         117.0       1.4
         120.0       1.3
         130.0       1.6
         131.0       2.3
         132.0       2.6
         147.0       1.4
         148.0       3.4
         149.0       5.4
         160.0       1.8
         175.0       1.7
         177.0       1.9
         178.0       3.1
         188.0       5.1
         189.0       2.1
         190.0     100.0
         191.0      13.6
         192.0       1.4
    

400 MHz in CDCl3


  • 1H NMR 399.65 MHz
    C20 H17 N O6 0.038 g : 0.5 ml CDCl3
    (+)-bicuculline
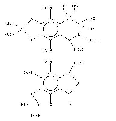
    ChemicalStructure
        Assign.     Shift(ppm)
    A 6.916 B 6.578 C 6.485 D 6.186 E *1 6.164 F *1 6.154 G *2 5.936 J *2 5.929 K 5.552 L 4.037 M *3 2.839 N *4 2.58 P 2.551 Q *3 2.54 R *4 2.231 ASSIGNED BY C-H COSY

         Hz     ppm     Int.
    

       2768.31   6.927    240
       2760.38   6.907    253
       2629.15   6.579    231
       2591.92   6.486    255
       2476.81   6.198    145
       2475.83   6.195    146
       2468.87   6.178    145
       2467.90   6.176    148
       2464.36   6.167    228
       2463.01   6.163    344
       2460.21   6.156    332
       2458.86   6.153    214
       2373.41   5.939    199
       2371.95   5.936    368
       2370.12   5.931    359
       2368.65   5.927    188
       2221.44   5.559    116
       2220.58   5.557    117
       2217.41   5.549    117
       2216.55   5.547    113
       1615.48   4.043    104
       1611.45   4.033    100
       1141.97   2.858     36
       1140.01   2.853     39
       1135.25   2.841     59
       1130.37   2.829     38
       1127.08   2.821     34
       1123.90   2.813     36
       1036.62   2.594     32
       1029.91   2.578     35
       1025.02   2.565     49
       1019.78   2.552   1000
       1017.70   2.547    141
       1013.31   2.536     87
       1005.86   2.517     42
    

in CDCl3



KBr disc



nujol mull