图谱信息 供应商 相关产品
网站主页CAS数据库列表 486-73-7更多图谱异喹啉羧酸(486-73-7)核磁图(1HNMR)

异喹啉羧酸

产品名称 异喹啉羧酸

CAS号486-73-7

分子式C10H7NO2

分子量173.17

展开


  • Mass

    MS-IW-0696          
    1-isoquinolinecarboxylic acid
    C10H7NO2            (Mass of molecular ion:    173)
    

       Source Temperature: 170 °C
       Sample Temperature: 130 °C
       Direct, 75 eV
    

          18.0       3.8
          28.0       1.2
          39.0       1.8
          44.0       6.4
          50.0       5.9
          51.0      11.2
          52.0       2.1
          58.5       2.6
          62.0       1.7
          63.0       3.1
          64.0       5.0
          64.5       2.9
          74.0       4.3
          75.0      11.1
          76.0       8.1
          77.0       8.8
          78.0       2.9
          89.0       1.8
          99.0       1.3
         100.0       2.7
         101.0      19.3
         102.0      26.4
         103.0       6.9
         127.0       3.8
         128.0      30.0
         129.0     100.0
         130.0      10.3
         173.0      49.3
         174.0       7.4
    

in DMSO-d6

400 MHz in DMSO-d6




  • 1H NMR 399.65 MHz
    C10 H7 N O2 0.036 g : 0.5 ml DMSO-d6
    1-isoquinolinecarboxylic acid
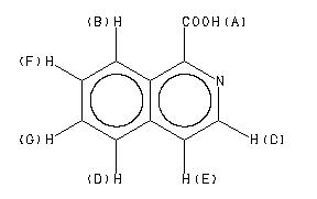
    ChemicalStructure
        Assign.     Shift(ppm)
    A 13. B 8.640 C 8.627 D 8.117 E 8.093 F *1 7.888 G *1 7.819

         Hz     ppm     Int.
    

       3458.50   8.654    398
       3457.52   8.652    400
       3451.17   8.636   1000
       3450.20   8.634    536
       3449.22   8.631    488
       3445.80   8.623    935
       3440.43   8.609     39
       3248.78   8.130    386
       3240.48   8.109    496
       3237.55   8.101    585
       3236.82   8.100    575
       3231.69   8.087    533
       3161.62   7.911    227
       3160.40   7.908    246
       3154.54   7.894    376
       3153.32   7.891    477
       3152.10   7.888    246
       3146.48   7.874    338
       3145.26   7.871    308
       3132.57   7.839    319
       3131.10   7.835    326
       3128.42   7.828     43
       3125.73   7.822    236
       3124.02   7.817    434
       3122.80   7.814    325
       3117.19   7.800    213
       3115.72   7.797    197
    

in DMSO-d6



KBr disc



nujol mull