图谱信息 供应商 相关产品
网站主页CAS数据库列表 487-26-3更多图谱黄烷酮(487-26-3)红外图谱(IR1)

黄烷酮

产品名称 黄烷酮

CAS号487-26-3

分子式C15H12O2

分子量224.25

展开


  • Mass

    MS-NW-9381          
    flavanone
    C15H12O2            (Mass of molecular ion:    224)
    

       Source Temperature: 180 °C
       Sample Temperature: 120 °C
       Direct, 75 eV
    

          18.0       1.5
          27.0       1.3
          28.0       1.1
          38.0       1.9
          39.0       5.7
          50.0       3.3
          51.0       6.8
          52.0       1.9
          53.0       1.4
          62.0       1.5
          63.0       9.1
          64.0      10.7
          65.0       6.1
          74.0       1.2
          75.0       1.5
          76.0       3.1
          77.0      13.4
          78.0      10.8
          89.0       2.3
          90.0       1.5
          91.0       6.3
          92.0      34.2
          93.0       5.2
         102.0       2.9
         103.0      16.2
         104.0      38.7
         105.0       4.7
         118.0       1.3
         120.0      92.7
         121.0      17.5
         122.0       1.4
         131.0       3.8
         146.0       5.7
         147.0      47.4
         148.0       4.9
         152.0       1.3
         165.0       1.5
         178.0       1.4
         181.0       1.3
         195.0       1.7
         196.0       1.1
         205.0       1.2
         206.0       1.1
         207.0       7.6
         208.0       1.3
         223.0      53.3
         224.0     100.0
         225.0      16.0
         226.0       1.7
    

400 MHz in CDCl3


  • 1H NMR 399.65 MHz
    C15 H12 O2 0.038 g : 0.5 ml CDCl3
    flavanone
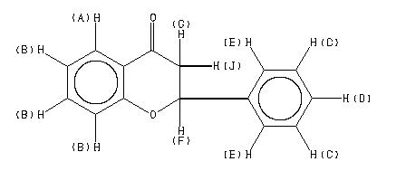
    ChemicalStructure
        Assign.     Shift(ppm)
    A 7.932 B 7.50 to 7.47 C 7.432 D 7.385 E 7.05 F 5.470 G 3.073 J 2.886

         Hz     ppm     Int.
    

       3175.42   7.946    481
       3173.58   7.941    471
       3169.68   7.932     74
       3167.24   7.926    510
       3165.65   7.922    470
       3165.28   7.921    463
       3005.74   7.521    286
       3004.03   7.517    293
       3000.73   7.509     40
       2998.54   7.503    362
       2997.56   7.501    424
       2996.83   7.499    463
       2995.61   7.496    647
       2993.90   7.492    482
       2992.19   7.488    191
       2991.70   7.486    188
       2990.23   7.483    444
       2988.53   7.478    742
       2987.67   7.476    765
       2987.06   7.475    868
       2986.33   7.473    828
       2984.01   7.467    160
       2983.52   7.466    146
       2980.71   7.459     46
       2978.39   7.453    365
       2977.05   7.450    504
       2974.98   7.444    178
       2972.17   7.437    219
       2970.09   7.432   1000
       2968.26   7.428    366
       2964.11   7.417    266
       2962.52   7.413    448
       2960.45   7.408     93
       2957.40   7.400    258
       2955.81   7.396    459
       2954.22   7.393    244
       2951.54   7.386    148
       2948.73   7.379    422
       2945.68   7.371     92
       2942.99   7.364     77
       2941.65   7.361    122
       2940.19   7.357     62
       2824.71   7.068    205
       2823.61   7.066    533
       2822.39   7.063    703
       2821.17   7.060    540
       2817.38   7.050    320
       2816.53   7.048    645
       2815.55   7.046    371
       2814.09   7.042    541
       2812.74   7.039    500
       2809.45   7.030    366
       2808.35   7.028    264
       2194.46   5.491    289
       2191.53   5.484    309
       2181.15   5.458    307
       2178.22   5.451    307
       1245.00   3.116    453
       1231.69   3.082    437
       1228.15   3.074    661
       1214.84   3.040    667
       1161.74   2.907    629
       1158.81   2.900    654
       1144.90   2.865    452
       1141.97   2.858    435
    

in CDCl3



KBr disc



nujol mull



4880 A,200 M,powder