产品名称 3-吲哚甲醛
CAS号487-89-8
分子式C9H7NO
分子量145.16
InChIInChI=1S/C9H7NO/c11-6-7-5-10-9-4-2-1-3-8(7)9/h1-6,10H
InChIKeyOLNJUISKUQQNIM-UHFFFAOYSA-N
SmilesN1C2=C(C=CC=C2)C(C=O)=C1
展开 收起
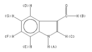
Assign. Shift(ppm) A 12.2 B 9.988 C 8.318 D 8.161 E 7.548 F *1 7.29 G *1 7.26
更多供应商
3-吲哚甲醛(487-89-8)红外图谱(IR1) 相关产品图谱