
1,2,3,4-四甲基苯
产品名称
1,2,3,4-四甲基苯
CAS号488-23-3
分子式C10H14
分子量134.22
InChIInChI=1S/C10H14/c1-7-5-6-8(2)10(4)9(7)3/h5-6H,1-4H3
InChIKeyUOHMMEJUHBCKEE-UHFFFAOYSA-N
SmilesC1(C)=CC=C(C)C(C)=C1C
展开
收起
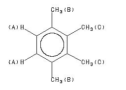
-
Assign. Shift(ppm)
A 6.882
B 2.243
C 2.174
Spectral Code: 1H NMR : 90 MHz in CDCl3
-
Spectral Code: Raman : 4880 A,200 M,liquid
1,2,3,4-四甲基苯(488-23-3)质谱(MS) 相关产品图谱