图谱信息 供应商 相关产品
网站主页CAS数据库列表 4880-88-0更多图谱长春布宁(4880-88-0)红外图谱(IR2)

长春布宁

产品名称 长春布宁

CAS号4880-88-0

分子式C19H22N2O

分子量294.39


  • Mass

    MS-IW-0801          
    (-)-eburnamonine
    C19H22N2O           (Mass of molecular ion:    294)
    

       Source Temperature: 150 °C
       Sample Temperature: 130 °C
       Direct, 75 eV
    

          41.0       1.0
         115.0       1.1
         118.5       1.1
         147.0       2.9
         167.0       4.7
         168.0       4.7
         169.0       1.4
         180.0       3.7
         181.0       1.5
         193.0       1.0
         194.0       1.3
         196.0       2.6
         208.0       1.4
         209.0       1.8
         210.0       1.1
         222.0       4.0
         223.0       1.7
         224.0      12.8
         225.0       2.8
         235.0       1.4
         236.0       3.7
         237.0      17.5
         238.0       4.5
         248.0       2.0
         251.0       1.9
         252.0       1.0
         263.0       3.7
         264.0       5.4
         265.0      26.7
         266.0       8.1
         267.0       1.1
         293.0      57.5
         294.0     100.0
         295.0      20.5
         296.0       2.2
    

400 MHz in CDCl3


  • 1H NMR 399.65 MHz
    C19 H22 N2 O 0.034 g : 0.5 ml CDCl3
    (-)-eburnamonine
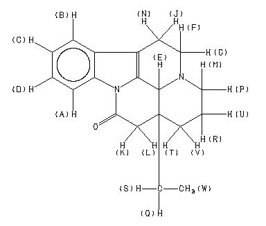
    ChemicalStructure
        Assign.     Shift(ppm)
    A 8.364 B 7.413 C *1 7.304 D *1 7.275 E 3.901 F *2 3.299 G *2 3.193 J *3 2.876 K *4 2.627 L *4 2.570 M *5 2.55 N *3 2.44 P *5 2.38 Q *6 2.023 R *7 1.741 S *6 1.630 T *8 1.469 U *7 1.368 V *8 1.005 W 0.920 ASSIGNED BY C-H COSY

         Hz     ppm     Int.
    

       3348.02   8.378    158
       3347.29   8.376    180
       3346.07   8.373    242
       3340.58   8.359    149
       3339.36   8.356    197
       3338.75   8.355    197
       3338.01   8.353    176
       2967.41   7.426    128
       2966.55   7.423    128
       2965.33   7.420    102
       2960.45   7.408    223
       2958.86   7.404    171
       2929.20   7.330     58
       2927.73   7.326     76
       2921.88   7.312    195
       2920.17   7.307    164
       2914.31   7.293    406
       2912.48   7.288    420
       2906.86   7.274    256
       2905.52   7.271    220
       2899.54   7.256     94
       2898.19   7.252     72
       1559.08   3.902    179
       1330.69   3.330     74
       1324.46   3.315     86
       1316.77   3.295    142
       1310.55   3.280    150
       1290.28   3.229     71
       1284.55   3.215     82
       1278.93   3.201     90
       1276.37   3.194     48
       1273.07   3.186     91
       1270.63   3.180     49
       1265.01   3.166     54
       1259.28   3.151     52
       1159.18   2.901     45
       1151.73   2.882     57
       1150.76   2.880     50
       1148.93   2.875     60
       1147.95   2.873     46
       1145.26   2.866     49
       1142.33   2.859     50
       1140.50   2.854     54
       1137.70   2.847     49
       1062.26   2.658    155
       1045.53   2.617    464
       1031.13   2.581    497
       1023.56   2.562     69
       1022.46   2.559     76
       1021.00   2.555     87
       1019.29   2.551     76
       1018.31   2.549     72
       1014.40   2.539    158
        986.08   2.468     70
        983.52   2.461     73
        980.83   2.455     74
        978.27   2.448     72
        969.24   2.426     63
        966.67   2.419     74
        964.23   2.413    100
        961.55   2.406    120
        952.39   2.384     90
        950.44   2.379     80
        949.34   2.376     83
        941.16   2.355     56
        937.87   2.347     52
        821.66   2.056     89
        813.96   2.037    105
        807.25   2.020    138
        806.03   2.017    144
        799.68   2.001    110
        700.56   1.753     65
        696.41   1.743     45
        687.13   1.720     68
        661.50   1.656     80
        654.17   1.637    101
        647.09   1.620     92
        639.77   1.601     72
        594.48   1.488     75
        591.31   1.480     45
        583.74   1.461     50
        580.81   1.454     87
        577.76   1.446     52
        555.79   1.391     57
        552.86   1.384     76
        549.80   1.376     57
        542.36   1.358     50
        539.43   1.350     65
        536.38   1.343     46
        416.63   1.043     57
        412.72   1.033     58
        402.95   1.009    105
        399.17   0.999     99
        389.40   0.975     53
        385.62   0.965     46
        375.12   0.939    484
        367.55   0.920   1000
        359.99   0.901    444
    

in CDCl3



KBr disc



nujol mull